Artur 299 wyśw. 25-06-2025 12:43

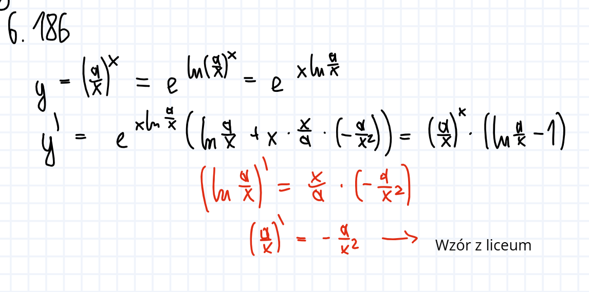
6.186



Zrobiłem ten przykład analogicznie jak 4 poprzednie a wychodzi mi błędna odpowiedź. Czy ktoś mógłby mi wskazać co robię źle?
Matematyka pochodna funkcji złożonej Dodaj post do ulubionych Poproś o pomoc
jarosinski 25-06-2025 23:12

Ja nie widzę błędu w Twoich obliczeniach :) być może jest błąd w odp lub Twoja odp jest tożsama z podaną 


Artur 26-06-2025 20:18

Czyli jeśli mam dobrze to wychodzi na to, że x^2/a=-1? Bo nie jest to oczywiste.


jarosinski 30-06-2025 10:44

Nie, może po prostu jest błąd w odp



Artur 09-07-2025 13:33

To dziwne, że nikt wcześniej przez tyle lat tego błędu nie zauważył


Kubix 06-09-2025 23:41



Artur 11-09-2025 12:18

Faktycznie, dzięki, nie zauważyłem tego


Kubix 12-09-2025 21:58

Masz może przykład 6.174 z pochodnych i jeśli tak to pokazałbyś?


Artur 13-09-2025 17:26