Justyna 221 wyśw. 19-09-2025 08:38

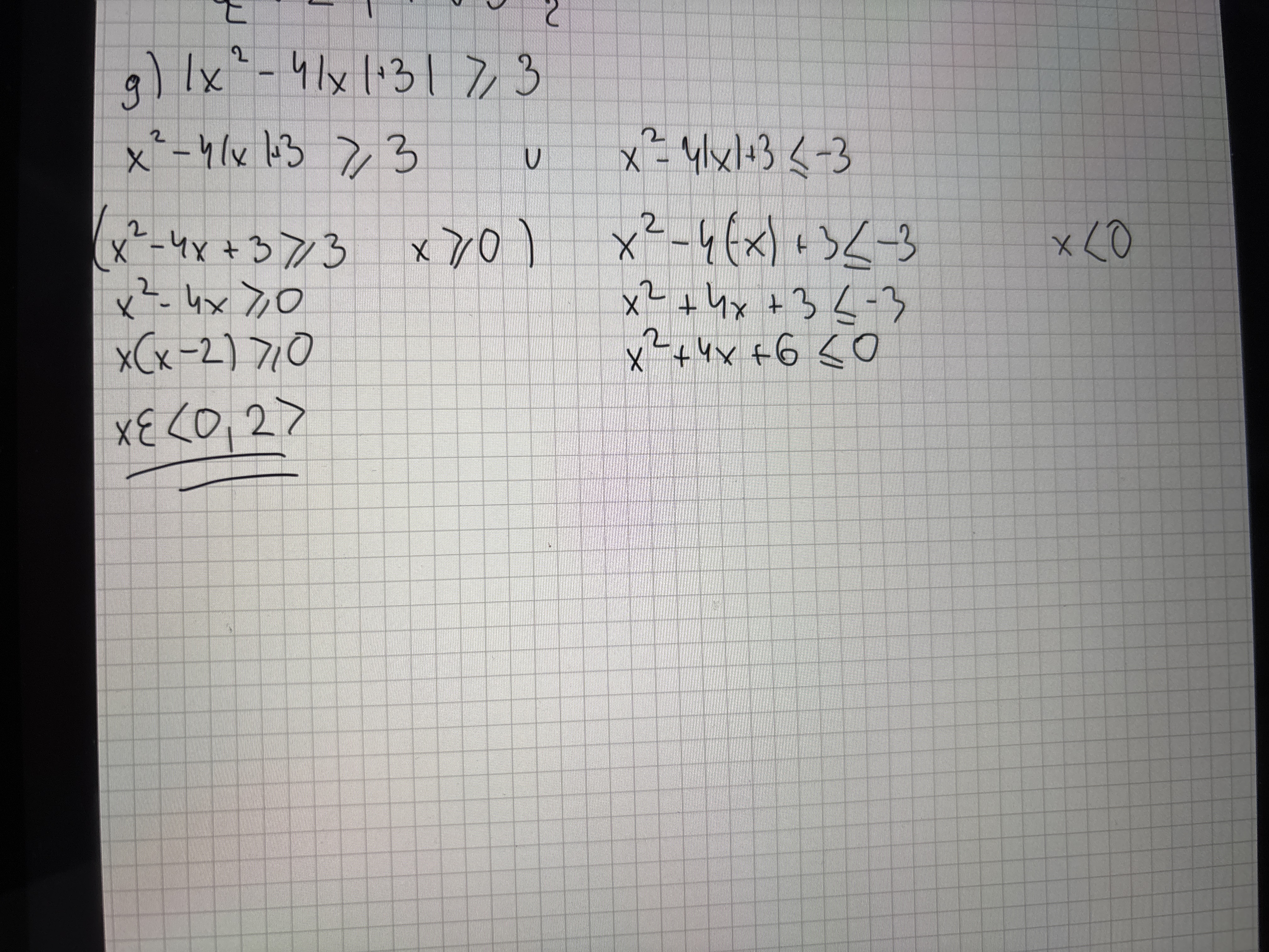
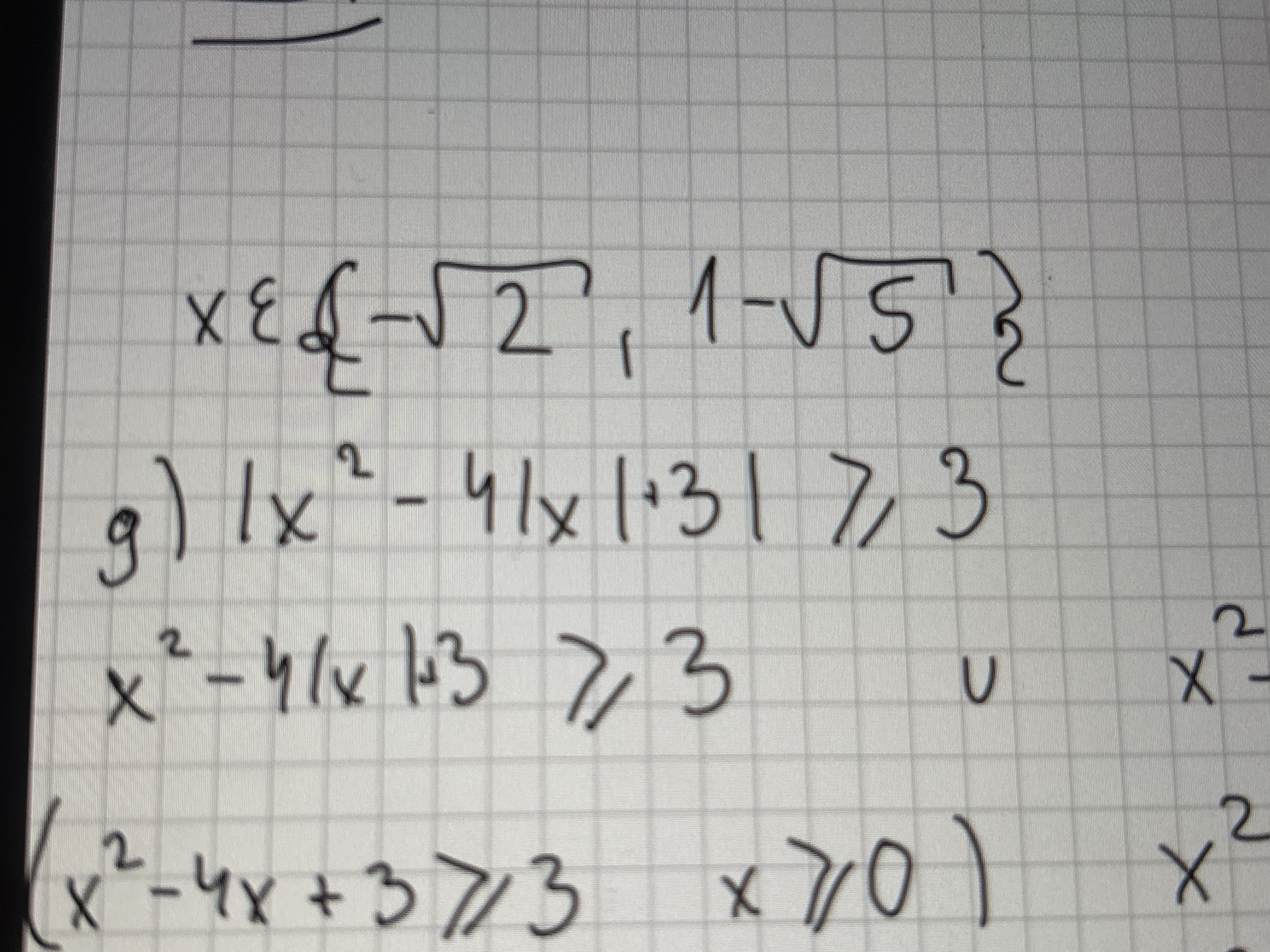
Zadanie domowe wartość bezwzględna zad 1 przyklad g)



hej, potrzebuje pomocy z zadaniem domowym. Zaczełam je robic ale wyszedl mi totalnie inny wynik



matematyka zadanie domowe Dodaj post do ulubionych Poproś o pomoc
zuzanna 19-09-2025 10:12



zuzanna 19-09-2025 10:17
źle wyciągnęłaś przed nawias,  x² -4x to x(x-4) a ty masz x(x-2)

Justyna 19-09-2025 16:30

nie rozumiem skąd się wziął ten przedział od -nieskończoność do -4


zuzanna 19-09-2025 16:42

w tym przedziale funkcja jest nieujemna i uwzględniając dodatkowo dziedzinę ( pierwszym zbiór ) wychodzi taki przedział