 
          Hej, wytłumaczy mi ktoś najprościej jak działają założenia? nie wiem kiedy są poprawne i skąd je brać... kompletnie tego nie rozumiem
proszę o pomoc
 
     
    Założenia to warunki, które muszą być spełnione, żeby dane działanie miało sens. Są to trochę "zasady gry". 
Przykład - ułamki:

Podstawowym założeniem w takim przypadku będzie x-2 != 0 czyli x musi być różne od 2.
W przeciwnym razie doszło by do dzielenia przez 0, a wtedy nie dałoby się wykonać działania.
Inne przykłady to pierwiastki, logarytmy.
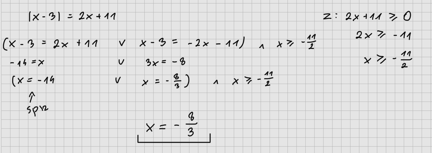
Mamy też założenia związane z pewnym typem zadań w których to sami je uzgadniamy aby pewne warunki były spełnione.
Jeżeli masz jakiś konkretny przykład który chciałabyś abym wyjaśnił proszę śmiało pisać :)
Zobacz na ten przykład. Musieliśmy dać założenie że 2x + 11 jest większy lub równe 0 ponieważ wartość bezwzględna nie może być na minusie |2| = 2 i |-2| = 2