



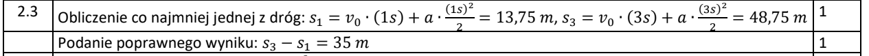
Nie wiem jak ocenić sobie zadanie 2.3 i 7.3. W zadaniu 7.3 skorzystałam z wzortu V=s/t, niby wychodzi na to samo co v=x/t(tak jak jest to w odpowiedziach) ale nie jestem pewna ile punktów powinnam za to dostać. Natomiast w zadaniu 2.3 policzyłam sobie prędkość na koniec 1s po czym zrobiłam wzór na droge w ruchu przyspieszonym gdzie pod Vo podstawiłam tą prędkość, a nie obliczałam żadnej z dróg 1/3 tak jak to było w odpowiedziach. Ile powinnam dostać za to punktów?


7.3: Normalnie max, to tylko w zasadzie różne oznaczenia, ale samo "sedno" jest to samo ;)
2.3: Tu też maksymalna liczba punktów, takie podejście jest również jak najbardziej w porządku.
W ogólności każde poprawne merytorycznie rozwiązanie należy sobie maksymalnie punktować - w kryteriach podawany jest z reguły tylko jeden sposób zrobienia danego zadania, a w wielu przypadkach są również oczywiście inne możliwości. Podobnie zresztą jest oczywiście na samej maturze - każde poprawne rozwiązanie jest maksymalnie punktowane :)