HaniaJ 131 wyśw. 25-09-2025 16:06

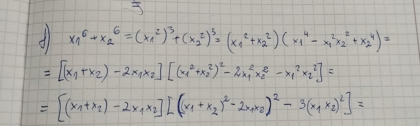
zad dom nr 2 zad 1 f



Zrobiłam coś takiego i nie wiem jak dojść do tej odpowiedzi podanej w kryteriach zadań


wzory viete'a Dodaj post do ulubionych Poproś o pomoc
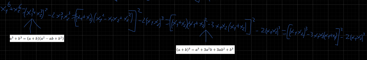
wojtek 25-09-2025 17:08



HaniaJ 25-09-2025 17:29

aaa okej, dzieki