Jakub 248 wyśw. 27-09-2025 04:15

Działania na wzorach viete'a

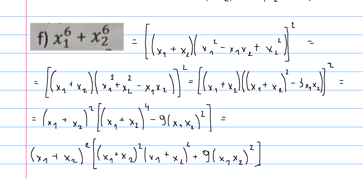
Sprowadz do wzorów viete'a



Czy moje uproszczenie może być uznane za poprane?
Matematyka matura funkcja kwadratowa wzory viete'a Dodaj post do ulubionych Poproś o pomoc
wojtek 27-09-2025 08:54


Edekzgredek 27-09-2025 11:52

Chyba nie, bo porównując z tym co ma Wojtek już w pierwszej linijce brakuje Ci -2(x1x2)^3