 
          
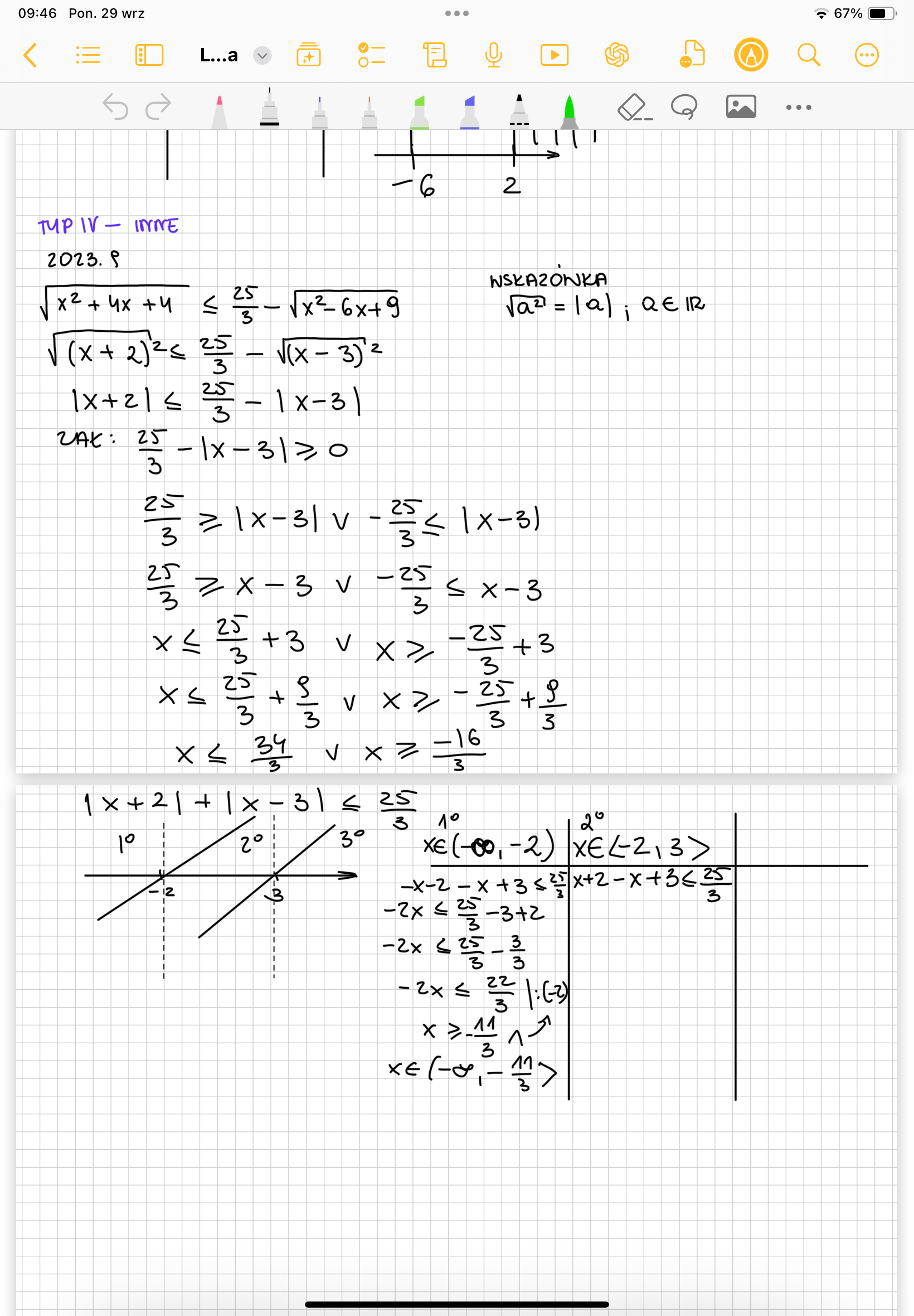
Mam kilka pytań odnośnie zadania 2023.9
1. Czy wykonanie założenia w tym przypadku jest konieczne? Zrobiłam je żeby ustalić jakie x będą spełniały tą nierówność, jednak nie jestem pewna czy jest to potrzebne i nie wiem czy gdzieś jakiegoś błędu nie zrobiłam w obliczeniach
2. Ponownie wydaje mi się, ze w tabelce z podziałem na podzbiory gdzieś jest błąd bo w drugiej kolumnie wyzerowały mi się x
3. Cały czas mam problem ze zrozumieniem jak działają te zbiory już po wyliczeniu x w danym podzbiorze tzn jak mam x należy (-niesk, -2) to dlaczego już po wyliczeniu x w tym zbiorze ( -11/3) zbior wygląda tak: x należy (-niesk, -11/3) a nie x należy (-11/3, -2)
z góry dziękuje za odpowiedz mam nadzieje ze jasno określiłam o co mi chodzi
 
    
1 jak robisz w przedziałach to nie musisz dawać założenia
2 w drugim po prostu wychodzi że x należy do R czyli zgodnie z przedziałem do całego przedziału, bo tam wychodzi 5 mniejsze od 25/3
3 właśnie x należy <- 11/3 do -2 ) bo masz mieć x większy lub równy niż -11/3, nawet tak sobie wyliczyłaś dobrze tylko potem żle to zapisałaś
mam nadzieję że pomogłam i że w miarę sensowanie to napisałam, mogę ci też podsłać jak ja to liczyłam jeśli dalej nie będziesz czegoś rozumieć