równanie: (m + 3)x^2 - (m + 2)x + m + 3 = 0 ma dwa różne rozwiązania spełniające nierówność:
Mam pytanie dotyczące zadania domowego oglądam rozwiązanie i w pewnym momencie mnożymy razy kwadrat mianownika i 3 po prostu znika czemu tak jest?

EDIT: wstawiłem złego ss

Chodzi mi o to nie tego ss'a zrobilem
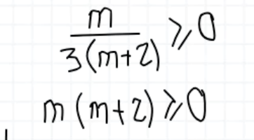
To równanie zostaje tak przekształcone. m + 2 podnosimy do kwadratu ponieważ może tam znajdować się liczba ujemna, co w przypadku po prostu przemnożenia sprawiła by że nierówność nie będzie prawdziwa. Zostaje nam w mianowniku 3, która jest dodatnia, więc możemy po prostu nierówność przemnożyć przez 3 i wszystko będzie dalej cacy. Później już można na luzie liczyć dalej
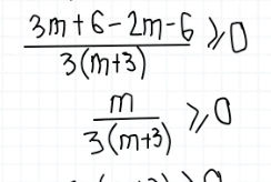
3m + 6 - 2m - 6 = 3m - 2m + 6 - 6
6 się skracają, zostaje samo m