* Podając numer telefonu i klikając na przycisk "Proszę o kontakt", akceptujesz regulamin platformy i wyrażasz zgodę na przetwarzanie swoich danych osobowych,
w szczególności numeru telefonu, przez Szkoła Maturzystów Łukasz Jarosiński z siedzibą w Olkuszu, ul. Żeromskiego 2/20, NIP 6372144158
w celu przedstawiania oferty przez telefon. Twoje dane będą przetwarzane na zasadach określonych w polityce prywatności.
Administratorem danych osobowych jest Łukasz Jarosiński prowadzący działalność gospodarczą pod firmą Szkoła Maturzystów Łukasz Jarosiński
z siedzibą w Olkuszu, ul. Żeromskiego 2/20, NIP: 6372144158. Zapoznaj się z informacjami o przetwarzaniu danych tutaj.
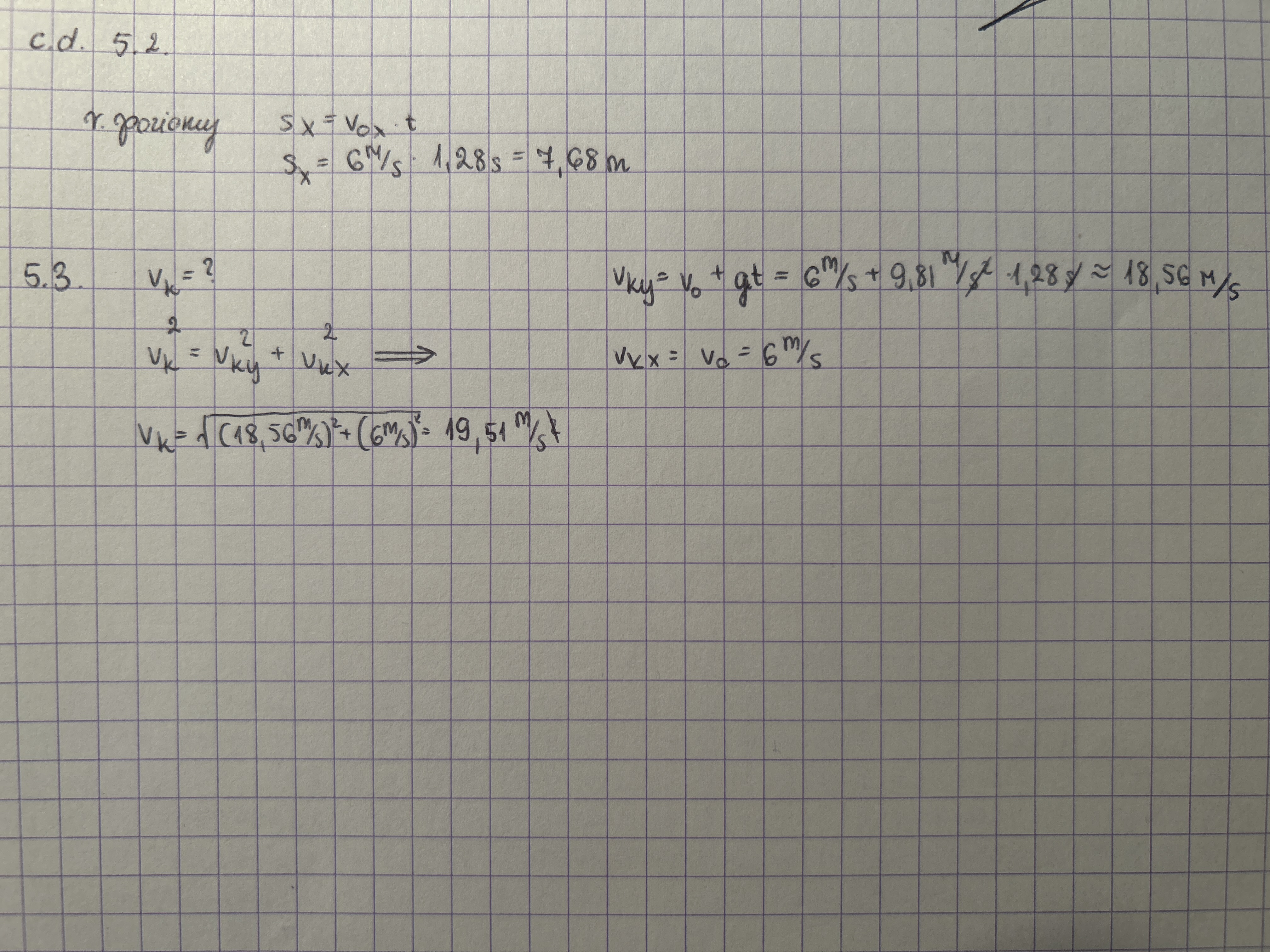
Zauważ, że prędkość początkowa w istocie jest równa v0 = 6 m/s, ale ma ona kierunek dokładnie poziomy (i tylko poziomy - nie ma żadnej składowej pionowej). Więc to w kierunku poziomym prędkość początkowa nie jest zerowa, natomiast w kierunku pionowym żadnej prędkości początkowej nie ma, stąd jest ona zerowa. I tak jest zawsze w przypadku rzutu poziomego.