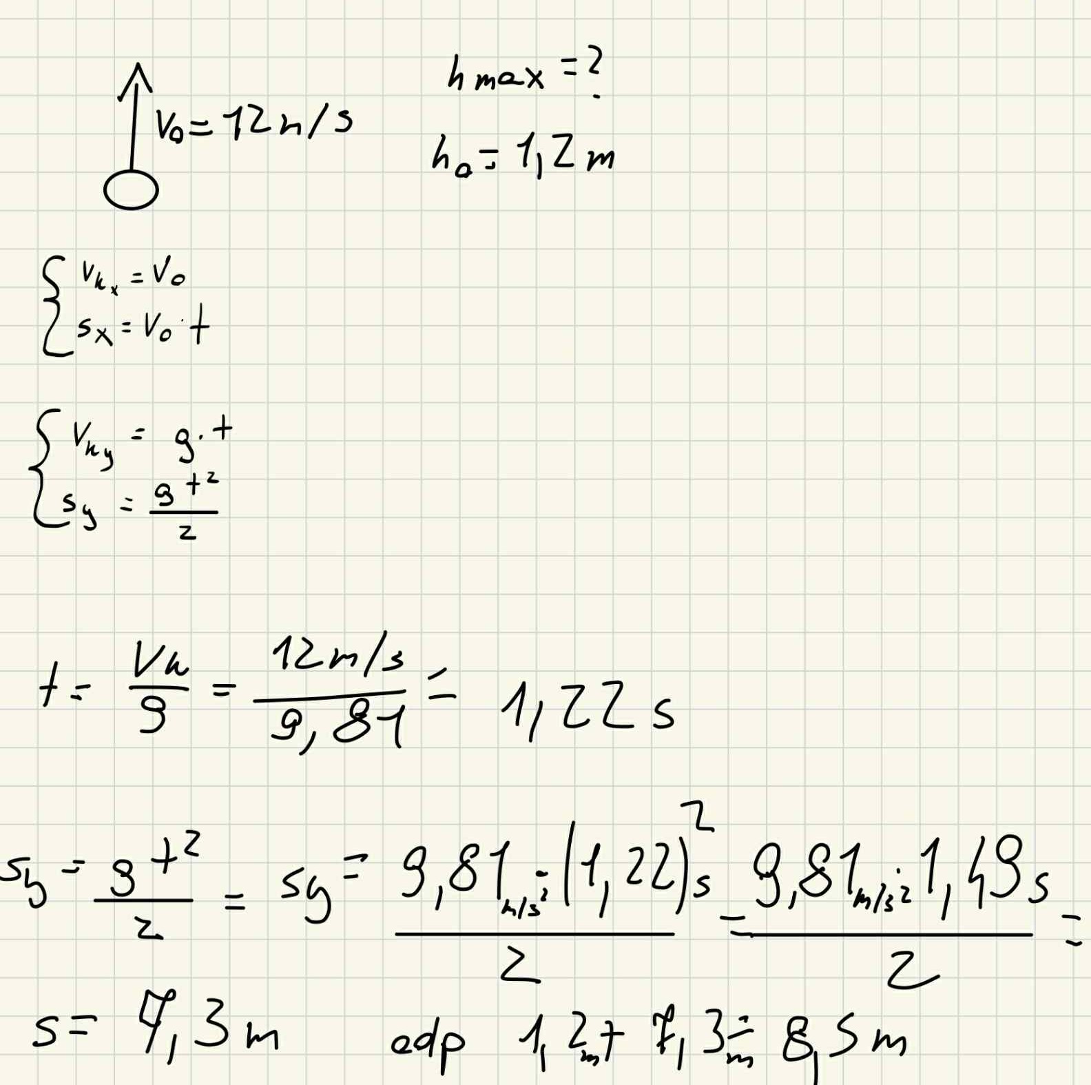
Piłeczkę tenisową wyrzucono pionowo w górę z prędkością początkową o wartości 12 m/s. W zadaniu należy pominąć wszelkie opory ruchu działające na piłeczkę. (4p)
1.1 Oblicz maksymalną wysokość nad ziemią na jaką wzniesie się piłeczka. Należy założyć, że jej początkowa wysokość (w momencie wyrzutu) wynosi 1,2 m nad ziemią.
Czy rozwiązanie tego zadania jest merytorycznie poprawne i czy zostałoby uznane na maturze?
Nieprawdą jest, że vky = g*t, bo prędkość końcowa w kierunku pionowym jest przeciez zerowa, czyli należałoby zapisać raczej, że vky = v0 - gt. I teraz wstawiając za vky zero, dostajemy 0 = v0 - gt, a stąd v0 = gt. I to stąd można wyliczyć czas i potem drogę, np. tak jak to już zrobiłaś. Więc liczbowo masz to dobrze zrobione (wynik też jest dobry), tylko, że sam pierwszy krok jest formalnie nieprawidłowy, tzn. z błędnych założeń dochodzisz do poprawnych wniosków ;) więc na maturze zapewne dostałabyś za to punkty, ale przypuszczam, że przynajmniej ten jeden za ten poczatek byłby pewnie odjęty.