* Podając numer telefonu i klikając na przycisk "Proszę o kontakt", akceptujesz regulamin platformy i wyrażasz zgodę na przetwarzanie swoich danych osobowych,
w szczególności numeru telefonu, przez Szkoła Maturzystów Łukasz Jarosiński z siedzibą w Olkuszu, ul. Żeromskiego 2/20, NIP 6372144158
w celu przedstawiania oferty przez telefon. Twoje dane będą przetwarzane na zasadach określonych w polityce prywatności.
Administratorem danych osobowych jest Łukasz Jarosiński prowadzący działalność gospodarczą pod firmą Szkoła Maturzystów Łukasz Jarosiński
z siedzibą w Olkuszu, ul. Żeromskiego 2/20, NIP: 6372144158. Zapoznaj się z informacjami o przetwarzaniu danych tutaj.
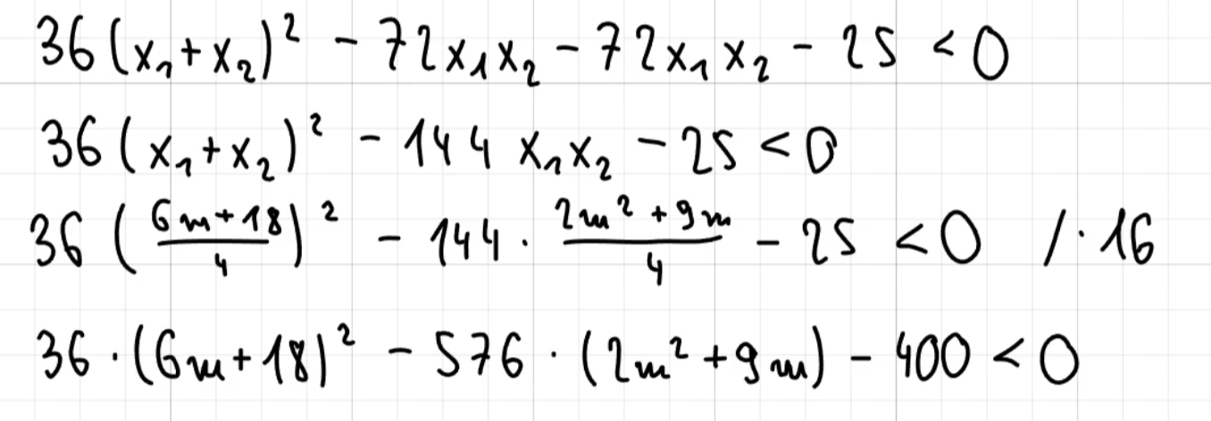
Mnożymy przez 16 bo w tym pierwszym wyrażeniu (które stoi przy 36) jest ono podniesione do kwadratu - a jest tam w mianowniku czwórka, która podniesioną do kwadratu daje nam 16, dlatego jej się chcemy pozbyć więc mnożymy przez 16, i dlatego też właśnie później nie mnożymy jeszcze przez 4 :)