* Podając numer telefonu i klikając na przycisk "Proszę o kontakt", akceptujesz regulamin platformy i wyrażasz zgodę na przetwarzanie swoich danych osobowych,
w szczególności numeru telefonu, przez Szkoła Maturzystów Łukasz Jarosiński z siedzibą w Olkuszu, ul. Żeromskiego 2/20, NIP 6372144158
w celu przedstawiania oferty przez telefon. Twoje dane będą przetwarzane na zasadach określonych w polityce prywatności.
Administratorem danych osobowych jest Łukasz Jarosiński prowadzący działalność gospodarczą pod firmą Szkoła Maturzystów Łukasz Jarosiński
z siedzibą w Olkuszu, ul. Żeromskiego 2/20, NIP: 6372144158. Zapoznaj się z informacjami o przetwarzaniu danych tutaj.
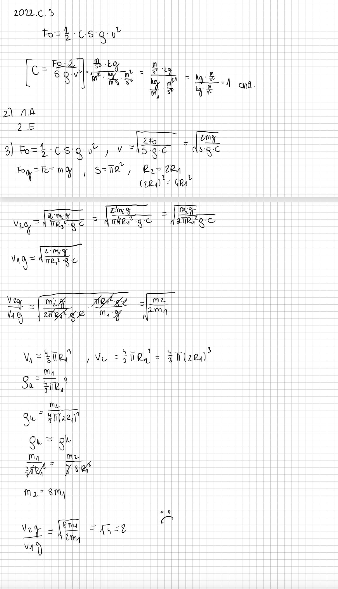
Zgubiłaś po prostu po drodze jedną dwójkę ;) w drugiej linijce drugiej strony masz v1g, które prawidłowo w mianowniku pod pierwiastkiem posiada dwójkę, podczas gdy robisz kolejne przejście to już tej dwójki nie wpisujesz. Jeśli jej nie zgubisz, to otrzymasz v2g/v1g = pierw(m2/4m1), co ostatecznie doprowadzi Cię już do poprawnego wyniku.