misiaa 226 wyśw. 07-10-2025 19:19

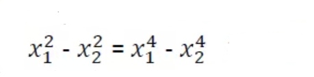
Zadanie domowe 3 cz.I j)

W jaki sposób mogę zapisać ten warunek?

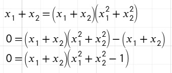
Czy wyciagnięcie x1+x2 przed nawias jest konieczne przy rozwiązywaniu warunku, tak jak zostało to zrobione tutaj:

W jaki sposób zostaję ono wyciagnięte, skąd to '-1' w nawiasie?


wzory Viete'a zadanie z parametrem Dodaj post do ulubionych Poproś o pomoc
wojtek 07-10-2025 20:10

w drugjej linijce również dzielimy przez x1+x2


wojtek 07-10-2025 20:11

m nie równa się -9/2 do innego warunku


Krzys.nowak 07-10-2025 20:26
.

jarosinski 10-10-2025 21:32