Ania.7 142 wyśw. 11-10-2025 22:41

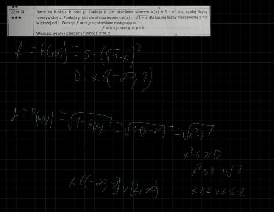
ZZ.N.14/str 19

Czy może mi ktoś rozpisać rozwiazanie tego zadania? Bo liczę już 2 raz i nie mam pojęcia jak się za to zabrać




#zadmaturalne Dodaj post do ulubionych Poproś o pomoc
wojtek 11-10-2025 22:51



jarosinski 15-10-2025 08:51

Ktoś poprosił o pomoc. Czy trzeba jeszcze w czymś pomóc tutaj?