* Podając numer telefonu i klikając na przycisk "Proszę o kontakt", akceptujesz regulamin platformy i wyrażasz zgodę na przetwarzanie swoich danych osobowych,
w szczególności numeru telefonu, przez Szkoła Maturzystów Łukasz Jarosiński z siedzibą w Olkuszu, ul. Żeromskiego 2/20, NIP 6372144158
w celu przedstawiania oferty przez telefon. Twoje dane będą przetwarzane na zasadach określonych w polityce prywatności.
Administratorem danych osobowych jest Łukasz Jarosiński prowadzący działalność gospodarczą pod firmą Szkoła Maturzystów Łukasz Jarosiński
z siedzibą w Olkuszu, ul. Żeromskiego 2/20, NIP: 6372144158. Zapoznaj się z informacjami o przetwarzaniu danych tutaj.
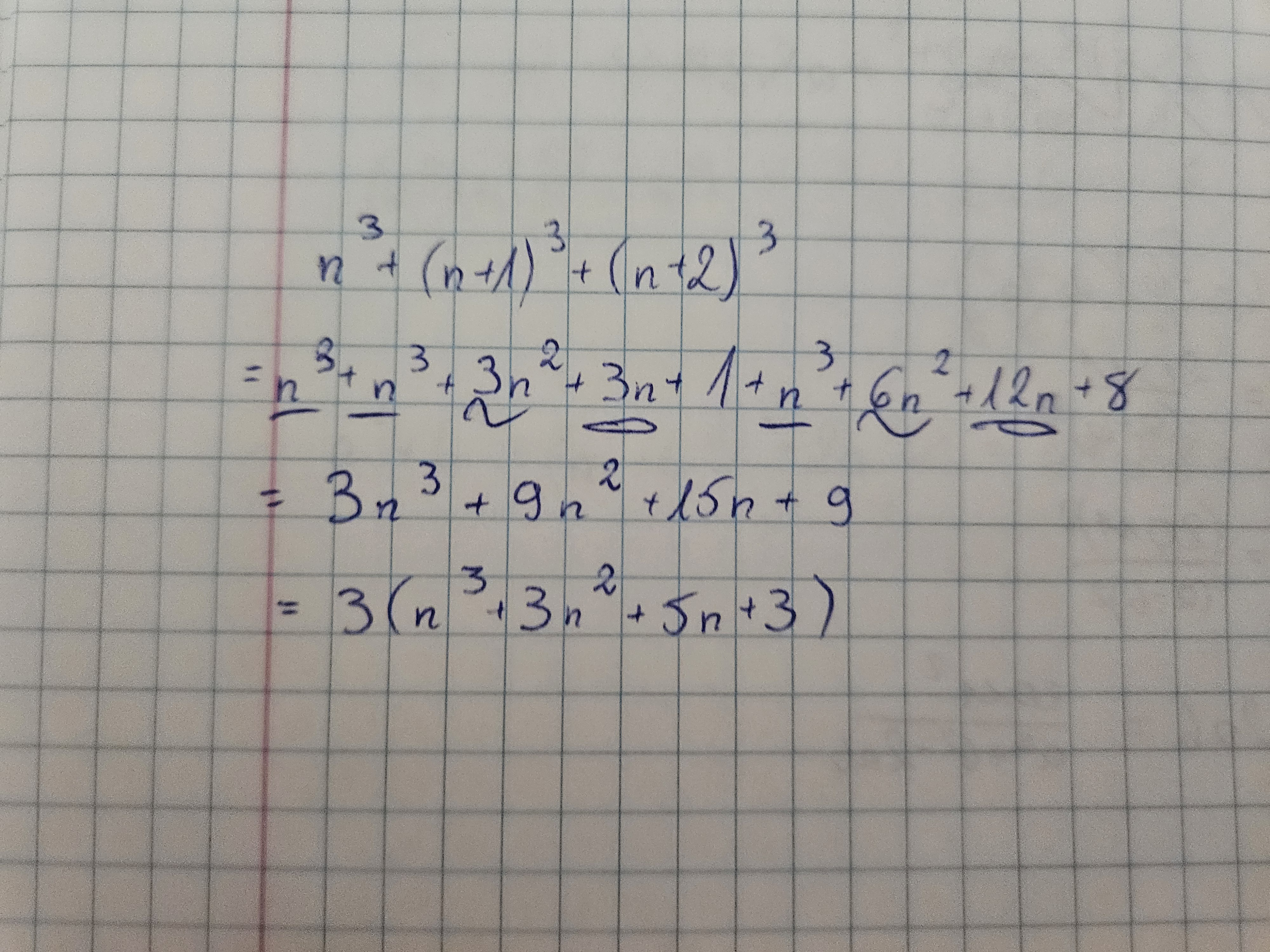
Pozostało udowodnić, że n^3+3n^2+5n+3 jest podzielne przez 3 . W tym celu można np. sprawdzić kolejne podzbiory liczb naturalnych.
Natomiast prościej: spróbuj rozpisać kolejne liczby w inny sposób: (n-1), n, (n+1)
Jeżeli dalej będzie problem proszę pisać to zaprezentuje rozwiązanie.