Michał 157 wyśw. 15-10-2025 16:58

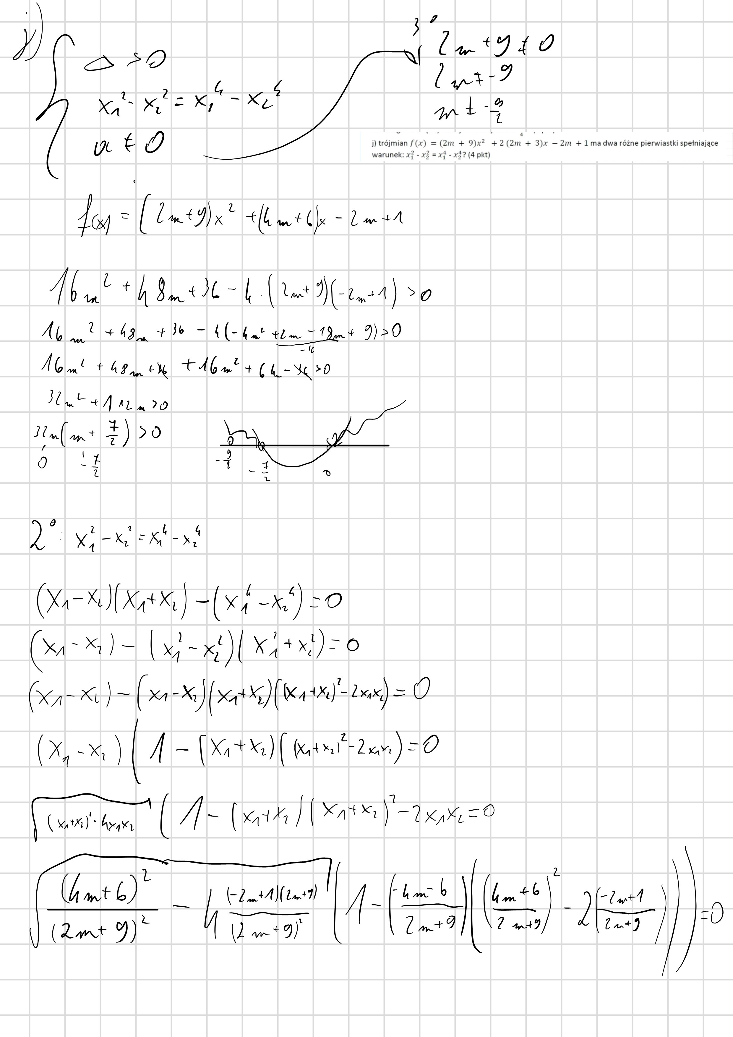
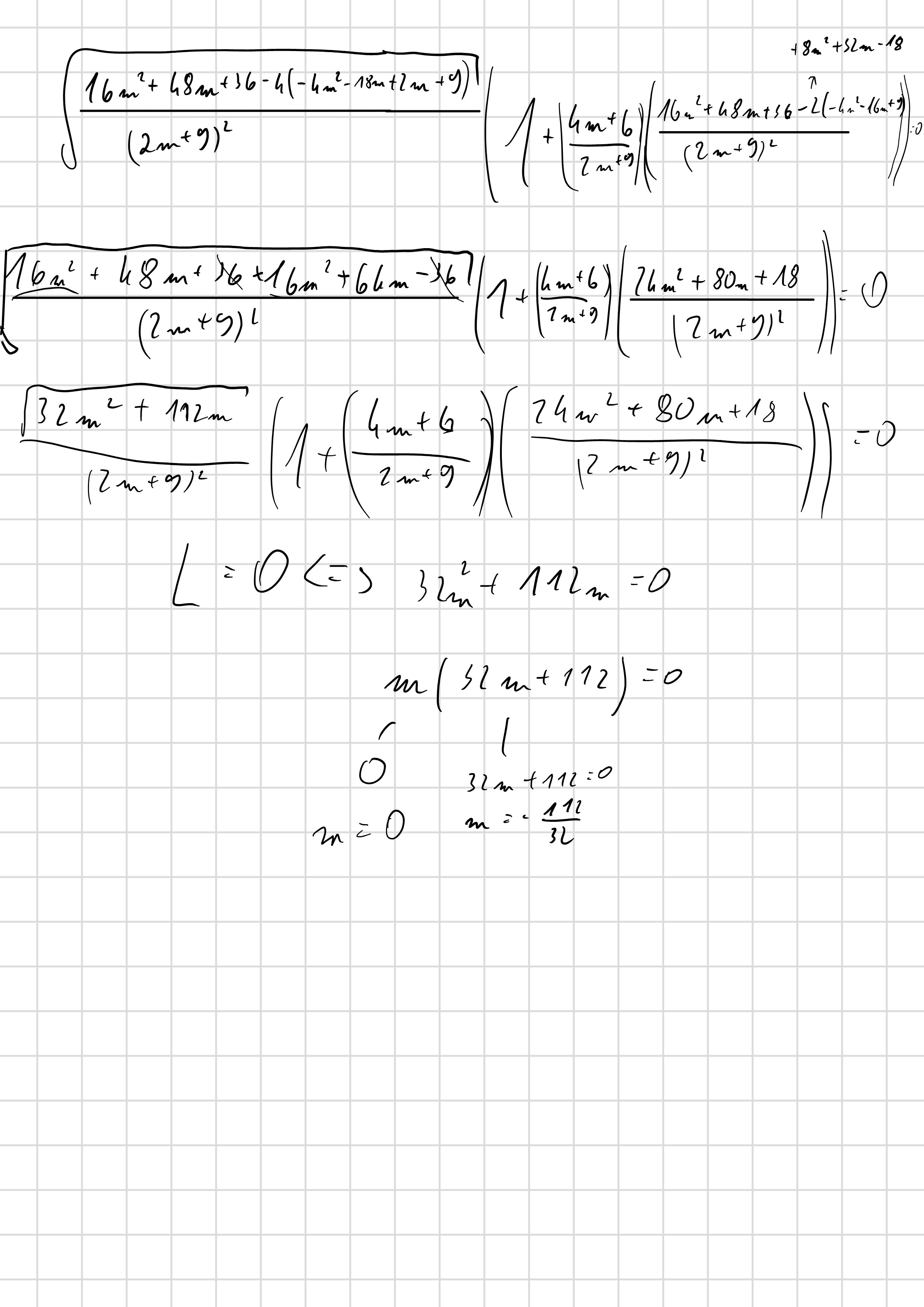
Zad domowe cz3. Zadanie 1 podpunkt J



Dlaczego według odpowiedzi można tu podzielić przez x1²-X2² i co w moim sposobie jest niepoprawne 


Matematyka funkcja kwadratowa viet Dodaj post do ulubionych Poproś o pomoc
ola 15-10-2025 18:33
Odnosząc się do pierwszej części pytania, można podzielić przez x1^2-x2^2, ponieważ w treści zadania mamy podane, że x1 i x2 są różne, więc ich różnica na pewno nie będzie zerem, więc można przez to wyrażenie dzielić.