
chciałam zapytać dlaczego wychodzą mi niepoprawne współczynniki jak liczę a b c d z układu równan z odczytanych punktow z wykresu.
wielomian otrzymany przed podstawienie a b c d jest inny niz ten w odpowiedziach

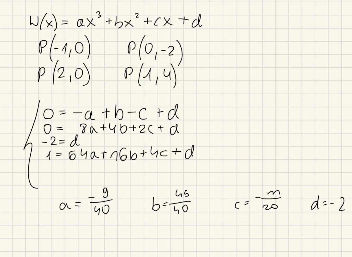
hejo, pomyliłaś się wstawiając do ostatniego równania x i y z ostatniego pkt., a sam pkt. ma współrzędne P=(1,-4). Jak wstawisz do W(x) za x=1 i y=-4 to wyjdzie Ci dobrze :)
Hejka, powinnaś to zrobić w taki sposób że z wykresu znajdujesz miejsca zerowe czyli -1 i 2 i zapodajesz równania ze W(-1)=0 i W(-2)=0, zauważ też że miejsce przecięcia funkcji z osią OY to wartość funkcji dla x=0, czyli W(0)=-2. Jak znasz już miejsca zerowe to wzór wielomianu powinnaś zapisać jako W(x)=a(x+1)^2(x-2) i do tego wzoru podstawiać te punkty i wtedy powinny ci wyjść współczynniki