
Nie mam pomysłu na to zadanie, mógłby ktoś dobrze wytłumaczyć jak zrobić równania i nierówności wielomianowe gdy mają takie wysokie stopnie? Dlaczego gdy wypróbowałam wszystkie metody rozwiązywania równań, żadna nie działa?
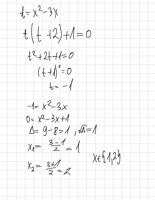
Metoda podstawiania zmiennej pomocniczej to tutaj jedyna opcja rozwiązania :)
@Łucja, w liczeniu delty popełniłaś błąd, powinno być: Δ=9-4=5, √Δ = √5 , wiec pierwiastki wynoszą:
x1= (3-√5)/2
x2= (3+√5)/2
Nie wiem czy to w porządku i poprawne, próbowałam rozpisać to z x jakoś inaczej i pogrupować ale nie udało mi się