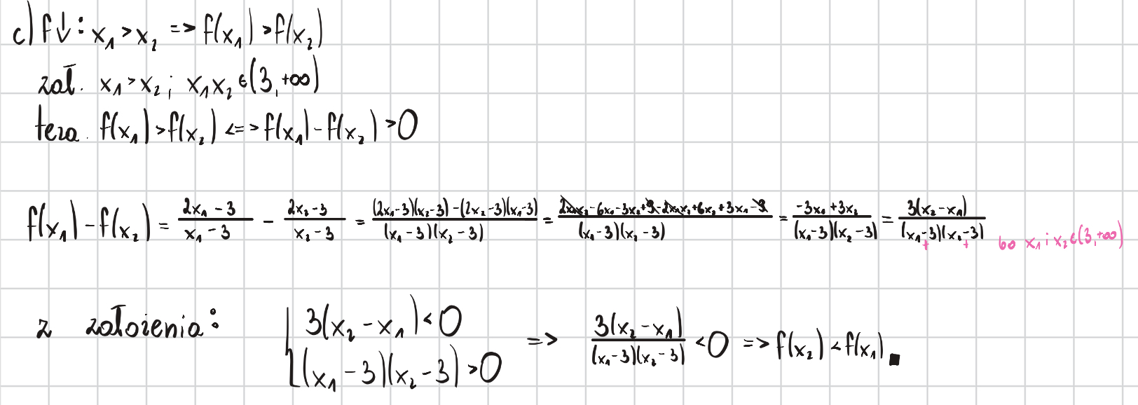
Czy mogę zapisać to w ten sposób? Bo w odpowiedziach jest inaczej, ale wydaje mi się że ta wersja też jest poprawna

Wiesz co masz błąd w założeniach, bo generalnie zawsze jest założenie że x1<x2 (ty masz na odwrót) i dla funkcji rosnącej f(x1)<f(x2) a dla malejącej f(x1)>f(x2). I teraz jak zmienisz to założenie to i licznik i mianownik będą dodatnie i udowodnisz tezę
Wydaje mi się że tak bo też zapisałam podobnie