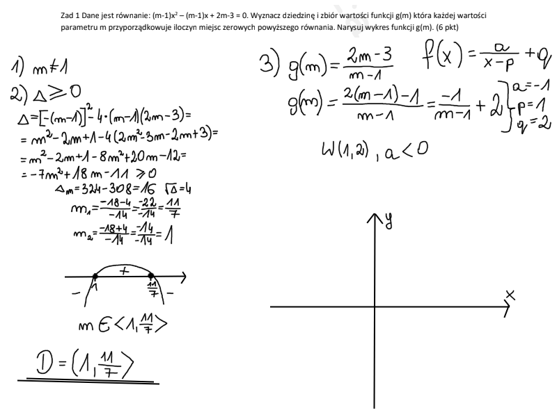
Dane jest równanie: (m-1)x2 – (m-1)x + 2m-3 = 0. Wyznacz dziedzinę i zbiór wartości funkcji g(m) która każdej wartości
parametru m przyporządkowuje iloczyn miejsc zerowych powyższego równania. Narysuj wykres funkcji g(m).
Czy mógłby mi ktoś wyjaśnić skąd wychodzi taki wykres, a potem zbiór wartości? Patrząc na wyprowadzony wzór kanoniczny nie wiem jak powinnam dalej to patrzeć
 

Hejka, więc musisz sobie podstawić do wzoru w postaci kanonicznej to co masz na końcach przedziałów w dziedzinie, więc dla x= 11/7, f(x)= 1/4 dla x=1 w mianowniku wychodzi ci zero i z granic wyliczasz z której jakby strony jest to zero tutaj jest od -niesk. i to jest twój zbiór wartości, wyliczasz jeszcze pare punktów z dziedziny podstawiając je tak samo do wzoru, zaznaczasz w układzie współrzędnych i rysujesz krzywą w dziedzinie. Mam nadzieję, że pomogłam :)