Proszę o pomoc.
Gdzie jest błąd w drugim sposobie rozwiązywania - TYM ZAKREŚLONYM NA ZIELONO? DLACZEGO A WYCHODZI MI 2, A NIE 4, JAK JEST W ODPOWIEDZIACH?
Czy musze obowiązkowo wyciągnąć 1\2 przed nawias aby uzyskać dobry wynik ?
Dlaczego jak już policzyłam że współczynnik b jest równy - 2 to nie mogę podstawić tego bezpośrednio do równania F(x) ABY POLICZYĆ WSPÓŁCZYNNIK A - CZYLI TAK JAK ZROBIŁAM W SPOSOBIE ZAKREŚLONYM NA ZIELONO?


Dopisałam już do pytania informacje, dokładniej o co mi chodzi.
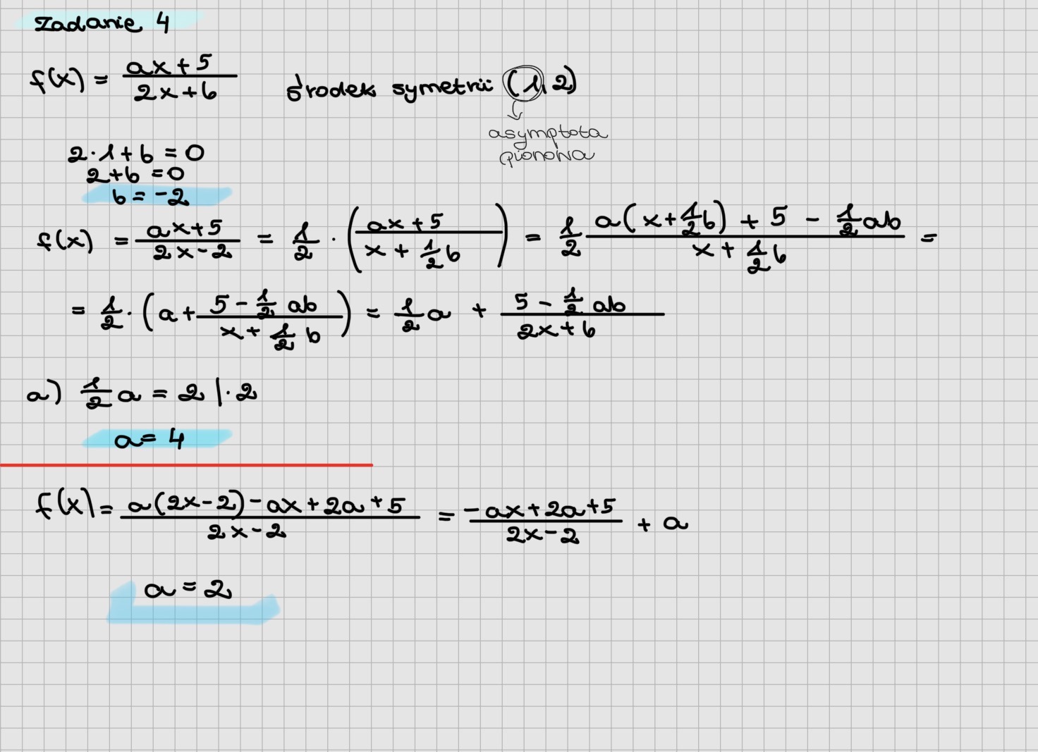
Problem polega na tym, że po prawej stronie fragment (-ax+2a+5)/(2x-2) dalej zawiera wyraz proporcjonalny do x (czyli nadal ma stopień 1). Jeżeli rozkładasz wymierną funkcję na część stała+ułamek żeby odczytać poziomą asymptotę od razu z tej stałej, reszta po podzieleniu musi mieć stopień niższy niż mianownik. Czyli pozioma asymptota to y=a/2 a nie y=a
Czy mogłabyś sprecyzować swoje pytanie ?
Poprawnie wyliczyłaś współczynnik b wykorzystując fakt, że asymptota pionowa to x=1
Następnie wiedząc że pozioma asymptota to y=a/2 możemy wyliczyć 2=a/2 => a=4
Nie musisz wyciągać 1/2.
Tzn. podstawić do jakiego równania ?