Zuzia2121 173 wyśw. 09-11-2025 13:12

Zadanie domowe 3



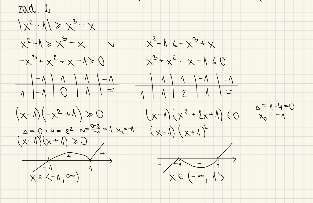
Czy mogłabym rozwiązać to w ten sposób? Czemu nie wychodzi tak jak w odpowiedziach


Wartość bezwzględna Dodaj post do ulubionych Poproś o pomoc
Lonker77 09-11-2025 13:53
należy to rozbić na przedziały i w tych przedzialach rozwiazwiązać, robiąc tak jak ty zrobilas popełniamy błąd zakładając że  x^2-1 jest jednoczesnie dotatnie i ujemne. 

Maja S 09-11-2025 14:11

Plus masz jeszcze błąd w tym pierwszym (-x²+1)=-(x-1)(x+1)

Delta wyszla Ci dobra ale zapomniałaś że przed x² masz minus więc musi on tam zostać. Więc albo obracasz znak albo inaczej rysujesz wykres