* Podając numer telefonu i klikając na przycisk "Proszę o kontakt", akceptujesz regulamin platformy i wyrażasz zgodę na przetwarzanie swoich danych osobowych,
w szczególności numeru telefonu, przez Szkoła Maturzystów Łukasz Jarosiński z siedzibą w Olkuszu, ul. Żeromskiego 2/20, NIP 6372144158
w celu przedstawiania oferty przez telefon. Twoje dane będą przetwarzane na zasadach określonych w polityce prywatności.
Administratorem danych osobowych jest Łukasz Jarosiński prowadzący działalność gospodarczą pod firmą Szkoła Maturzystów Łukasz Jarosiński
z siedzibą w Olkuszu, ul. Żeromskiego 2/20, NIP: 6372144158. Zapoznaj się z informacjami o przetwarzaniu danych tutaj.
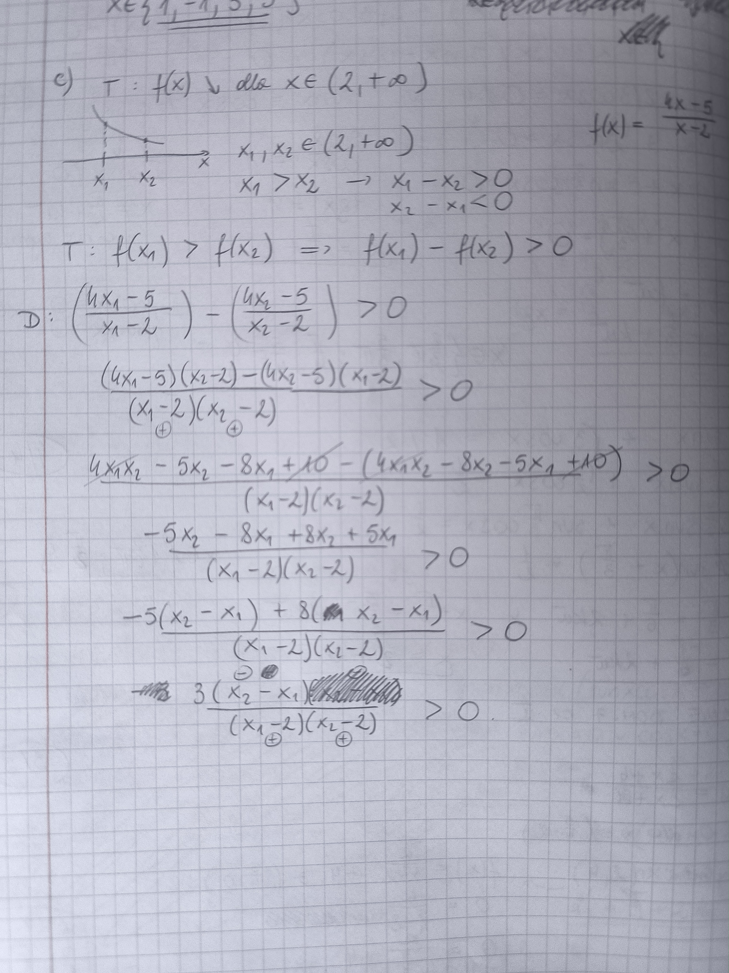
Sam dowód jest dobrze zrobiony. Problem jest na samej górze, w założeniach, gdzie napisałaś x1 > x2. Bazując na tym rysunku co jest po lewej stronie to x1 < x2, bo oś OX działa jak oś liczbowa, tj. zawsze argument po lewej stronie jest mniejszy od tego po prawej.
x1 < x2 => x1 - x2 < 0 => x2 - x1 > 0
Zatem licznik jest też > 0, cały ułamek jest > 0, ckd.