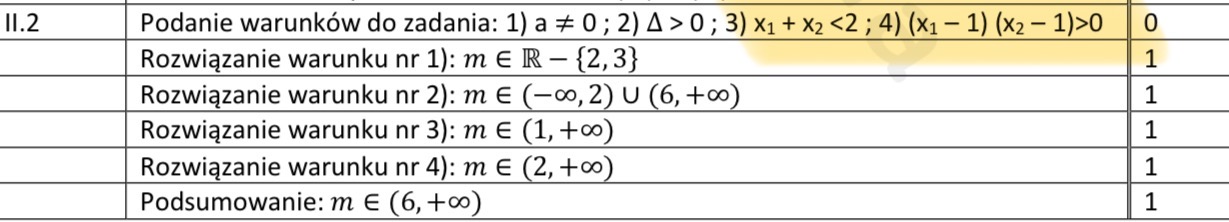
Czy mógłby ktoś proszę wytłumaczyć dlaczego daje warunki 3) i 4)? Skąd wiem, że akurat takie muszę zastosować ?


W zadaniu powiedzieli, że muszą być 2 różne rozw. należące od -inf do 1. Czyli x1 < 1 i x2 < 1
Tworzymy układ równań z x1 - 1 < 0 i x2 - 1 < 0
Jeśli zsumujemy oba równania to mamy: x1 + x2 - 2 < 0
I korzystamy z faktu, że jeśli pomnożymy obie liczby to dostaniemy (x1 - 1)(x2 - 1) > 0.
Znak większości wynika z tego, że mnożąc l. ujemną * l. ujemną dostaniemy liczbę dodatnią.
Masz układ z polecenia ze maja byc mniejsze od 1 czyli:
x1 <1 inaczej x1- 1 <0
x2 <1 x2 -1 <0
Gdy dodasz to do siebie wyjdzie Ci pierwszy warunek, natomiast tak jak było mówione na kursie żeby przemnożyć musisz przenieść to na drugą stronę. Gdy mnożymy dwie ujemne liczby dostajemy dotadnia dlatego (x1 - 1)(x2 - 1)>0