* Podając numer telefonu i klikając na przycisk "Proszę o kontakt", akceptujesz regulamin platformy i wyrażasz zgodę na przetwarzanie swoich danych osobowych,
w szczególności numeru telefonu, przez Szkoła Maturzystów Łukasz Jarosiński z siedzibą w Olkuszu, ul. Żeromskiego 2/20, NIP 6372144158
w celu przedstawiania oferty przez telefon. Twoje dane będą przetwarzane na zasadach określonych w polityce prywatności.
Administratorem danych osobowych jest Łukasz Jarosiński prowadzący działalność gospodarczą pod firmą Szkoła Maturzystów Łukasz Jarosiński
z siedzibą w Olkuszu, ul. Żeromskiego 2/20, NIP: 6372144158. Zapoznaj się z informacjami o przetwarzaniu danych tutaj.
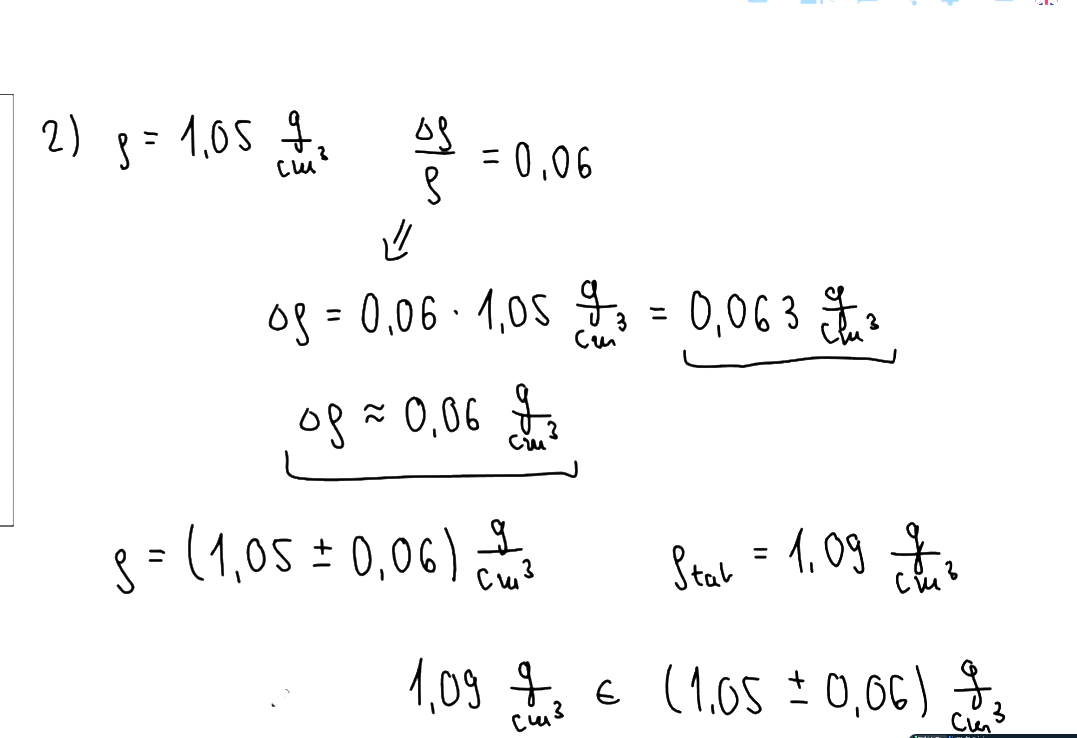
Tak, formalnie jeśli zaokrąglamy ją tutaj do drugiego miejsca po przecinku to w istocie powinna ona zostać zapisana jako 0,07. Nie ma to oczywiście wpływu na samą odpowiedź na pytanie czy wyznaczona wartość gęstości jest zgodna w granicach niepewności z wartością tablicową i co więcej na maturze najprawdopodobniej nikt by nawet się nie przyczepił do zaokrąglenia tej niepewności w dół, natomiast dziękuję za zwrócenie na to mojej uwagi!