Juliaaaa_Bereda 169 wyśw. 12-11-2025 20:16

Matematyka trygonometria



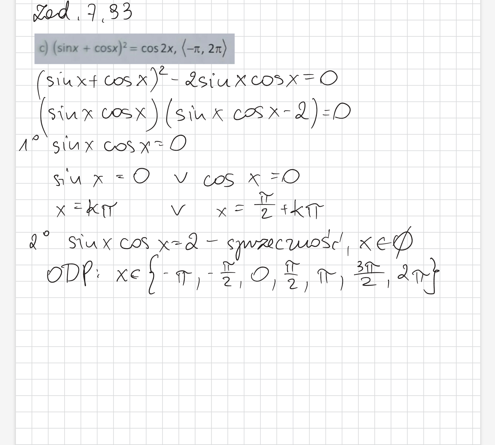
Czy ktoś widzi błąd? Bo w odp jest pi/4, -pi/4 itd…


Matma Dodaj post do ulubionych Poproś o pomoc
Maja S 12-11-2025 22:00
Cos2x nie jest równy 2sixcosx to wzór na sin2x. Później tez jest błąd wyciągnęłaś sinx × cosx mimo ze w nawiasie masz (sinx + cosx)². Ten drugi błąd nie jest już ważny po na samym początku jest źle ale wolałam napisać na wszelki wypadek