zuziaczek 144 wyśw. 18-11-2025 23:13

2024.G.5



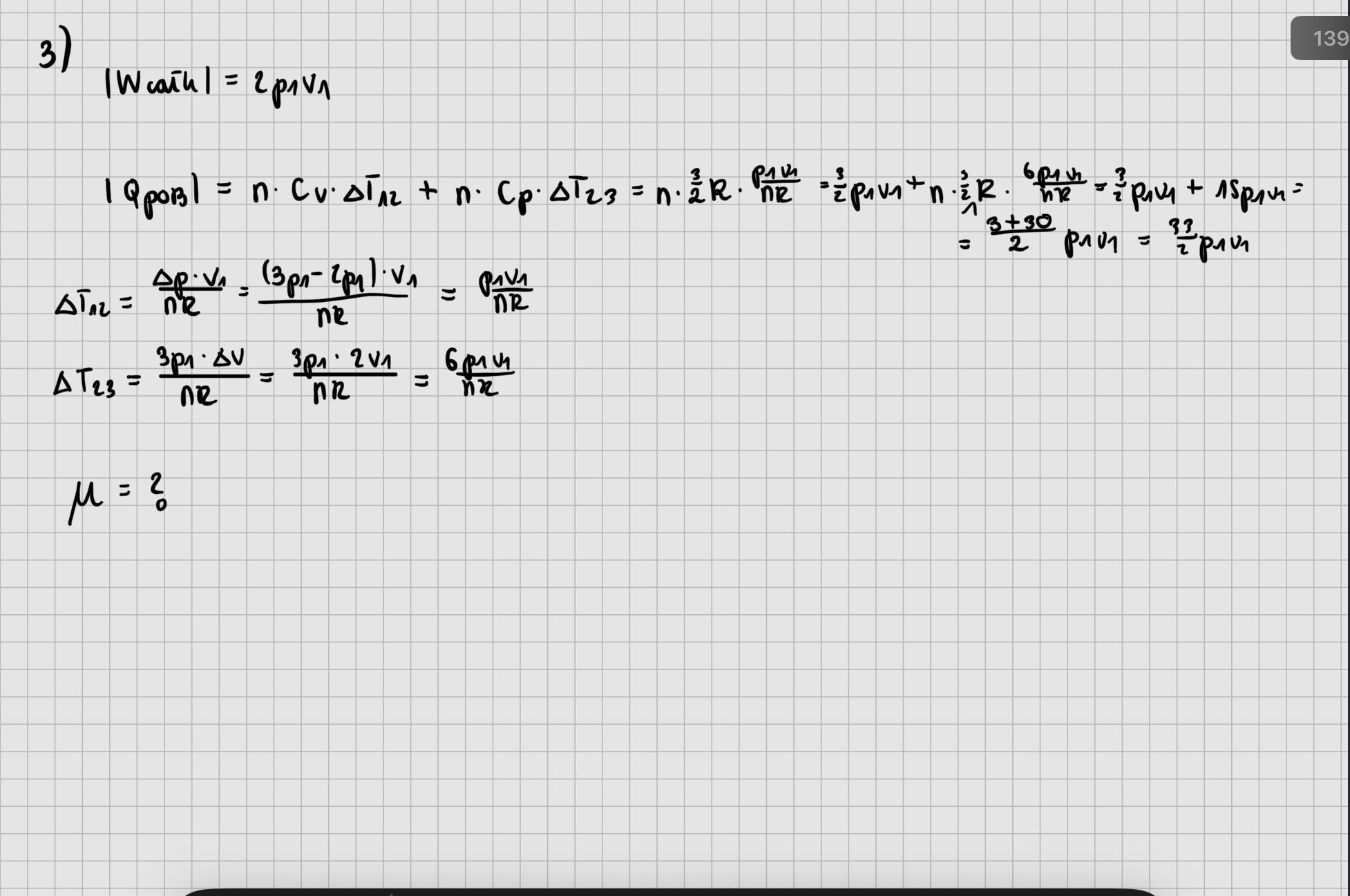
W kryteriach jest że delta T23 powinna być równa 3pv/nR, ale ja jakoś nie widzę tego na wykresie. Przez to sprawność mi wychodzi większa od 1, także ewidentnie coś robię nie tak


Sprawność Dodaj post do ulubionych Poproś o pomoc
zuziaczek 18-11-2025 23:14

Tu jest treść tego podpunktu, bo nie dało się wkleić dwóch plików do treści 


s.gugula 27-11-2025 23:33

Hmm, ale w kryteriach wychodzi dokładnie tak samo jak Tobie - tu jest wszystko dobrze :) deltaT23 = 6pV/nR, więc całe ciepło w przemianie 23 to jest 15pV. I dokładnie tak samo jest w kryteriach (tam nR*deltaT23 jest zapisane dokładnie jako 3p1 * 2 V1, ale to jest przecież 6*p1*V1, więc to to samo, ale może to Cię zmyliło). Więc teraz wystarczy podzielić pole tego prostokąta przez wyliczone przez Ciebie ciepło pobrane i dostaniesz dobry wynik, wyjdzie 2/16,5 :)