
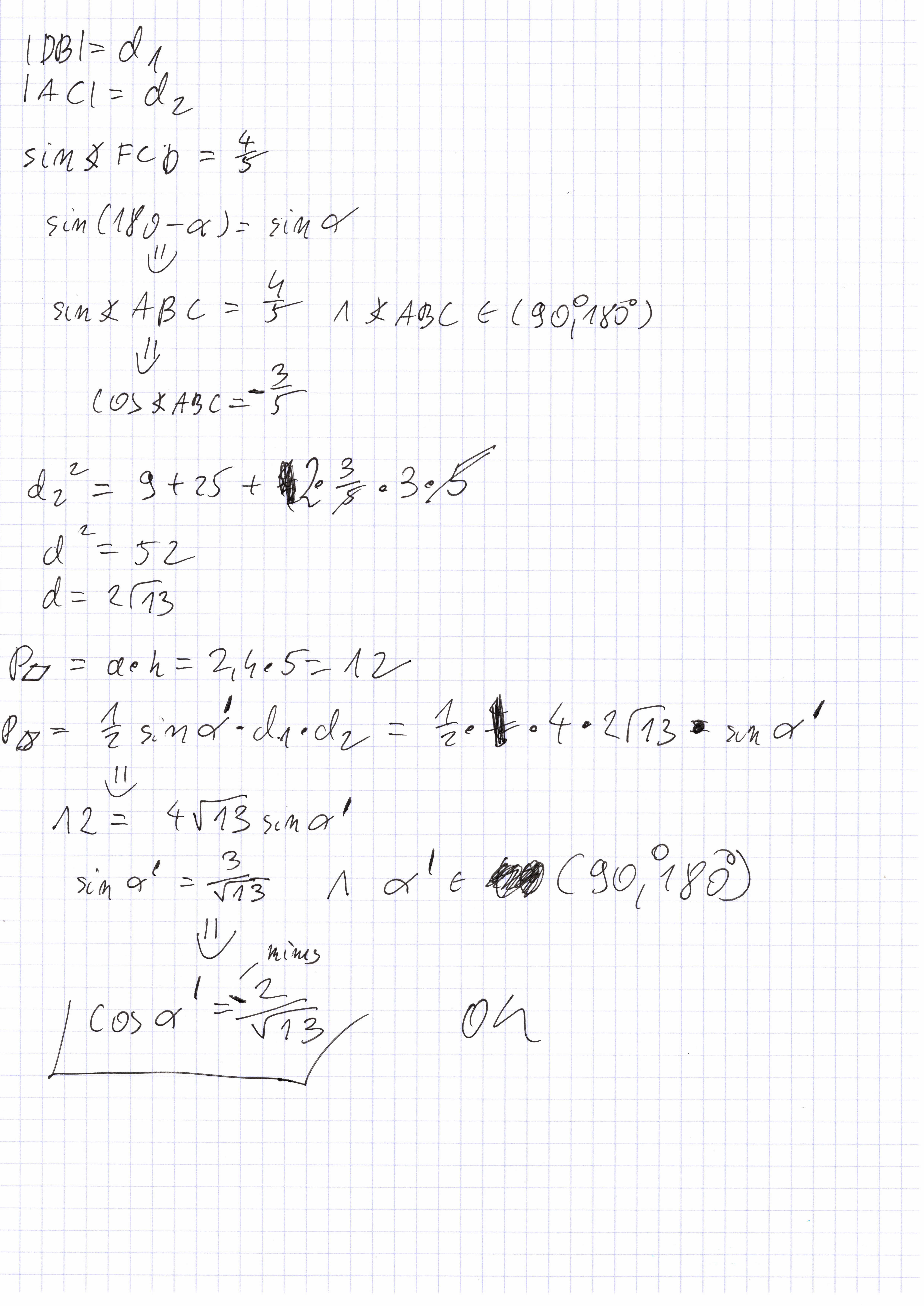
Czy można wyciągnąć taki wniosek, że ta wysokość jest jednocześnie przekątną? Znacznie to przyśpiesza zadanie (jest literówką chodzi o że prostokątny jest trójkąt FCD nie FCB)

Gdzie tu masz sprzeczność? Przecież w tym równoległoboku dokładnie tak jest. Możesz wziąć kartkę i narysować taki równoległobok
To jakbyś napisała, że w trójkącie wysokość nie może być bokiem - patrz trójkąt prostokątny i teraz przyklej do siebie dwa trójkąty prostokątne takie same, tylko jeden podstawą do góry, drugo podstawą do dołu i masz taki równoległobok
Pisałam o czworokątach a nie trójkątach, ale faktycznie jest taka możliwość mój błąd. Tylko ty piszesz o trójkątach z kkk i zamiast trójkąt FCD piszesz FCB, a potem nie wiem skąd masz, że trójkąt FCB jest prostokątny, mimo że te punkty sa na jednej prostej.
Może ja coś źle odczytuje z rysunku i rozwiązania, ale wydaje mi się że to nie jest przykład o którym mówisz z połączonymi 2 trójkątami.
Przykład z trójkątami był, żeby pokazać analogie, że czasem definicje nie są rozłącznę, tylko mają część wspólną - bok w trójkącie i przekątna w trójkącie czy wysokość i przekątna w czworokącie
No i dałem przykład z trójkątami prostokątnymi bo ba ich bazie buduje się własnie równoległoboki, gdzie przekątna i wysokość to jeden odcinek
Co do trójkąta racja - chodzi o trójkąt FCD - literówka
Tak punkt F to tak na prawdę punkt B, o to w tym zadaniu chodziło.
Nie, nie ma takiego czworokąta, w którym prosta może być zarówno wysokością jak i przekątną.
To sprzeczne ze soba definicje, przekątna łączy dwa przeciwległe wierzczołki a wysokość to prosta, która jest prostopadła do jednego boku przechodząca przez przeciwległy wierzchołek