
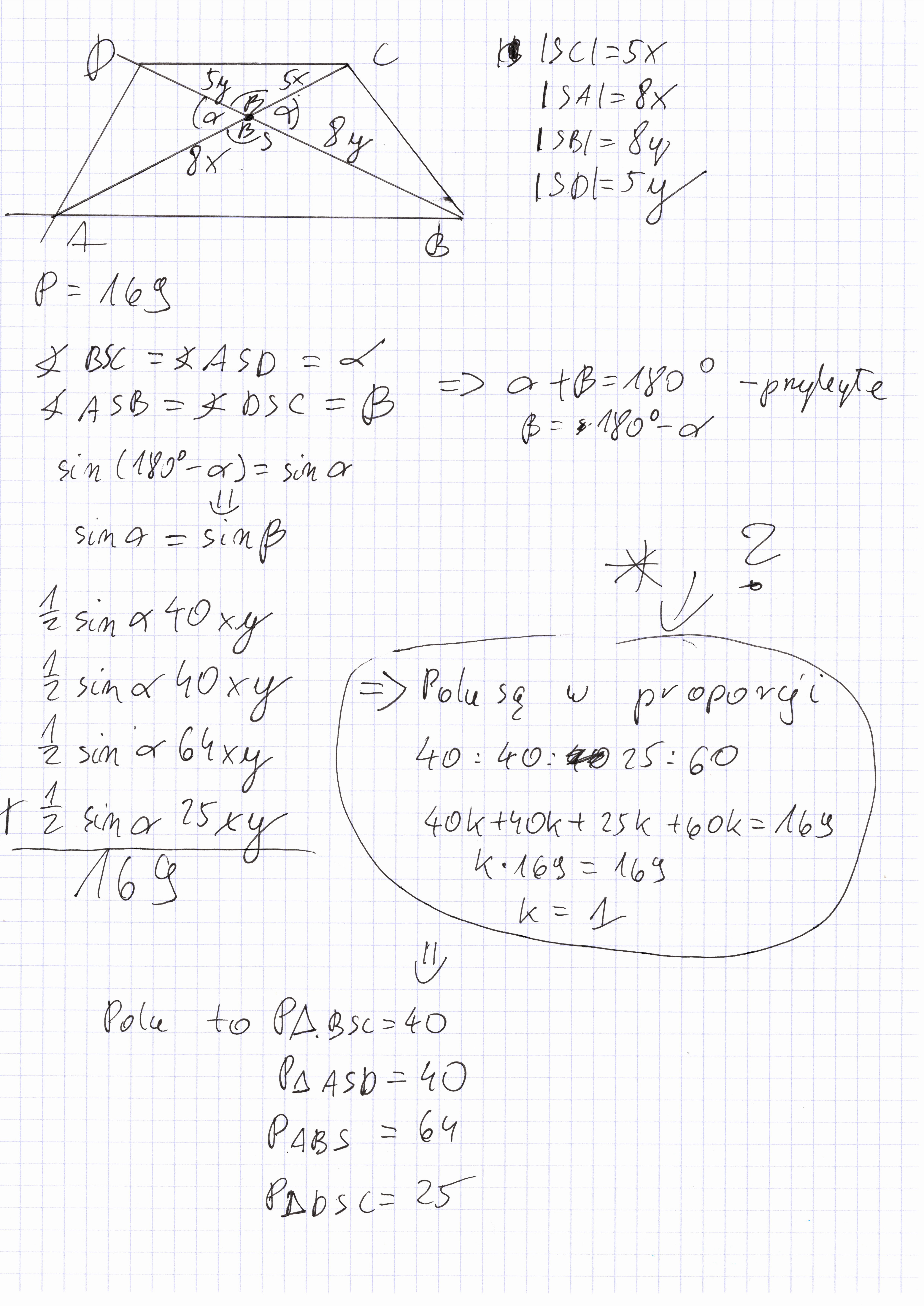
Gwiazda - czy taki zapis jest poprawny? Chodzi o to, że jak zauważymy, że poprzez wzór na sinus pola trójkąta te pola są wszystkie w odpowiednich proporcjach to możemy szybko policzyć ich wielkości. Tylko pytanie czy to wystarczający zapis, czy sprawdzający mógłby się przyczepic?

PS wkradł się mały błąd - zamiast 64 napisałem 60 - ale dalej wynik jest dobry (zadanie przepisywałem na czysto, żeby zamieścić tu)
Według mnie gwiazdka jest okej