* Podając numer telefonu i klikając na przycisk "Proszę o kontakt", akceptujesz regulamin platformy i wyrażasz zgodę na przetwarzanie swoich danych osobowych,
w szczególności numeru telefonu, przez Szkoła Maturzystów Łukasz Jarosiński z siedzibą w Olkuszu, ul. Żeromskiego 2/20, NIP 6372144158
w celu przedstawiania oferty przez telefon. Twoje dane będą przetwarzane na zasadach określonych w polityce prywatności.
Administratorem danych osobowych jest Łukasz Jarosiński prowadzący działalność gospodarczą pod firmą Szkoła Maturzystów Łukasz Jarosiński
z siedzibą w Olkuszu, ul. Żeromskiego 2/20, NIP: 6372144158. Zapoznaj się z informacjami o przetwarzaniu danych tutaj.
Nie jestem pewna czy o to dokładnie pytasz wiec spróbuję po kolei
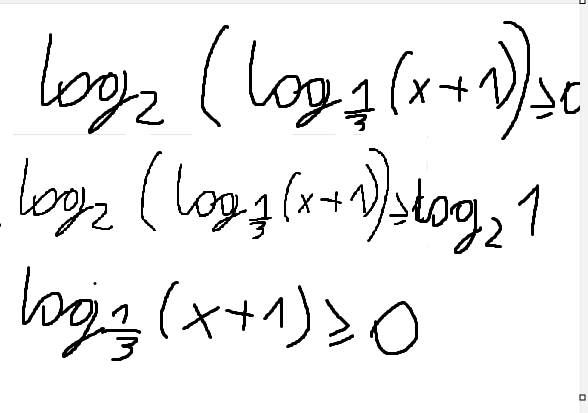
-3 warunek wynika z pierwiastka możemy mieć pod nim tylko liczby >=0
- na tym drugim zdjęciu korzystasz z tego ze zapisujesz 0 jako lagrytm bo 2⁰=1 możemy dzięki temu usunąć jakby obustronnie logarytm (po obu stronach mamy te same podstawy) bez zmiany znaku bo a=2>0 zostaje nam b z obu logarytmów czyli w tym wypadku
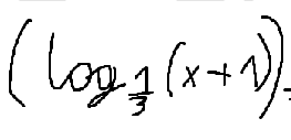
log⅓(x+1)>=1
Zatem nie jest to żadna stała zasada tylko tak wychodzi w tym zadaniu. Mam nadzieję że wszystko zrozumiałe a jeśli nie to śmiało pytaj