• [email protected]
  • +48 506 532 926
  • Forum
  • Zaloguj się
  • Zarejestruj się
MENU
  • Kursy maturalne
    online na żywo
    • Matematyka
      • Poziom podstawowy
      • Poziom rozszerzony
    • Fizyka rozszerzona
    • Angielski rozszerzony
    • Biologia rozszerzona
    • Chemia rozszerzona
  • Kurs 8-klasisty
    online na żywo
  • Kursy
    VOD
    • Matematyka podstawowa liceum
    • Matematyka rozszerzona liceum
    • Fizyka liceum
    • Studia
    • Pakiety
    • Egzamin ósmoklasisty
  • Książki
  • Platforma
    • Stypendium
    • Konkurs JAROMAT
    • Kursy studia: Całek + Java
    • Baza wiedzy
    • 3 najważniejsze zadania z...
    • Blog
    • O mnie
    • Opinie E-korepetycje
    • Opinie Facebook
    • Opinie Google
    • Instagram
    • Kontakt ze mną
    • Najczęściej zadawane pytania
    • Wywiady z maturzystami
Michał 26 wyśw. 21-12-2025 01:12

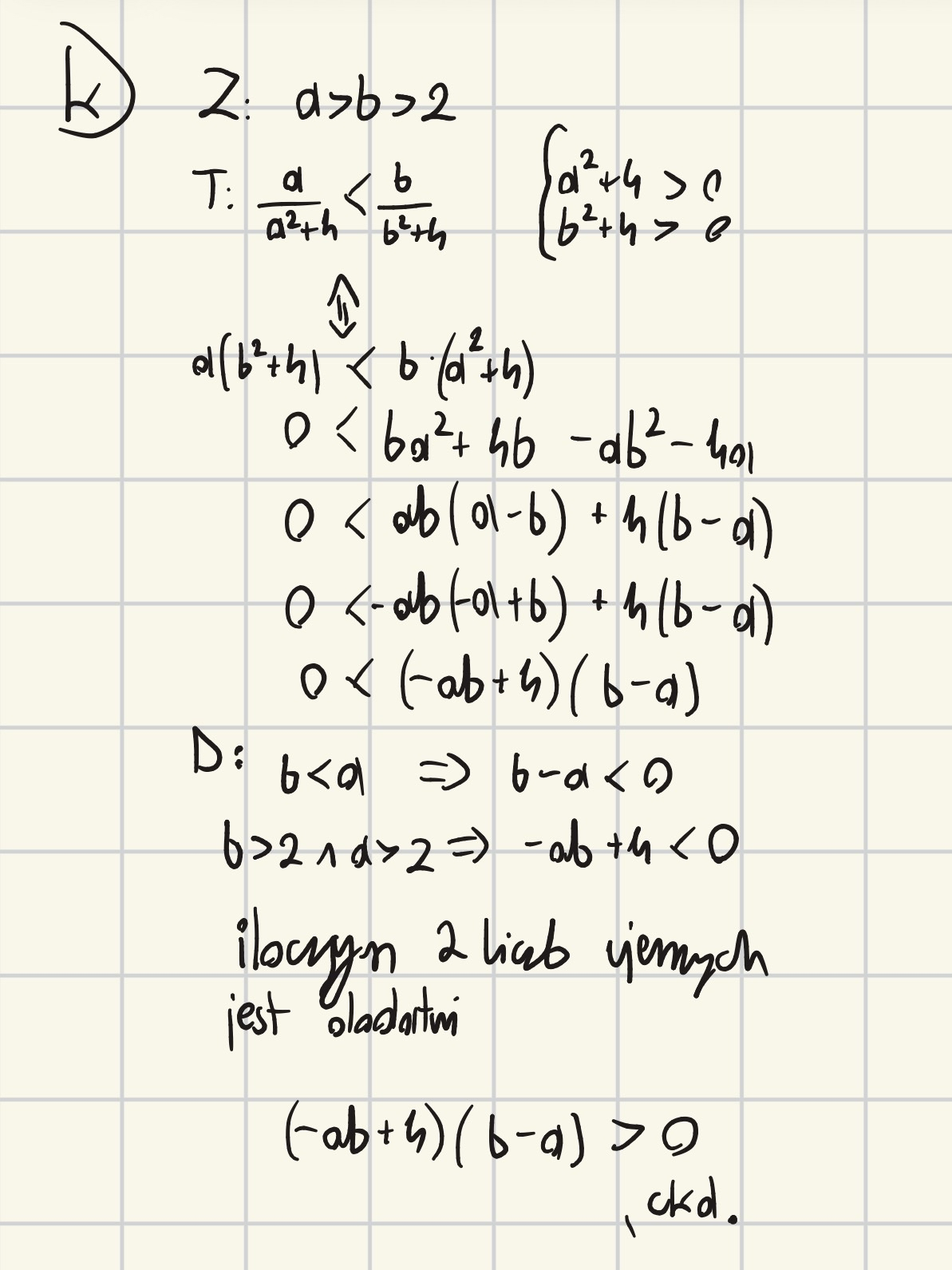
Zad 1 k)/90



Czy wszystko jest tutaj dobrze? 


Matematyka Dodaj post do ulubionych Poproś o pomoc
Kliknij tutaj, aby dodać nowy komentarz.
Zaloguj się lub zarejestruj, by móc dodawać komentarze.

Kursy maturalne online

  • Kurs z matematyki podstawowej online
  • Kurs z matematyki rozszerzonej online
  • Kurs z fizyki rozszerzonej online
  • Kurs z języka angielskiego online

Kursy na studia online

  • Kurs programowania JAVA online
  • Kurs całek online

Kursy ósmoklasisty online

  • Kurs przygotowujący do egzaminu ósmoklasisty z matematyki

Kursy VOD

  • Matematyka podstawowa liceum
  • Matematyka rozszerzona liceum
  • Fizyka liceum
  • Studia
  • Pakiety
  • Egzamin ósmoklasisty

Szkoła Maturzystów

Oferuję kompleksowe szkolenia przygotowawcze do matur z matematyki oraz fizyki dostępne online oraz stacjonarne w Olkuszu i Krakowie.

Kontakt ze mną

  • +48 506 532 926
  • [email protected]
  • Szkoła Maturzystów
    Łukasz Jarosiński
    ul. S. Żeromskiego 2/20
    32-300 Olkusz, Polska
    NIP: 637 21 44 158

Kursy maturalne

  • Kursy maturalne z matematyki
  • Kursy maturalne z fizyki
  • Kursy maturalne z angielskiego
  • Kursy na studia
  • Kursy 8-klasisty
  • Kursy VOD
  • Książki

Platforma

  • Moje konto
  • Prowadzący
  • Opinie
  • Regulamin
  • Kontakt
  • Polityka prywatności
  • Mapa strony

© 2025 Szkolamaturzystow.pl. Wszelkie prawa zastrzeżone.
Wykonano przez: Systemy dedykowane Friqtechnology.com

1
Zapytaj
o kursy

Masz pytanie?
Zostaw numer, oddzwonimy!

+48

* Podając numer telefonu i klikając na przycisk "Proszę o kontakt", akceptujesz regulamin platformy i wyrażasz zgodę na przetwarzanie swoich danych osobowych, w szczególności numeru telefonu, przez Szkoła Maturzystów Łukasz Jarosiński z siedzibą w Olkuszu, ul. Żeromskiego 2/20, NIP 6372144158 w celu przedstawiania oferty przez telefon. Twoje dane będą przetwarzane na zasadach określonych w polityce prywatności.

Administratorem danych osobowych jest Łukasz Jarosiński prowadzący działalność gospodarczą pod firmą Szkoła Maturzystów Łukasz Jarosiński z siedzibą w Olkuszu, ul. Żeromskiego 2/20, NIP: 6372144158. Zapoznaj się z informacjami o przetwarzaniu danych tutaj.

Prośba o pomoc wysłana
Prośba o udzielenie pomocy została wysłana. Jeżeli post nie otrzyma odpowiedzi społeczności w ciągu dwóch dni, pomoc zostanie udzielona przez zespół Szkoły Maturzystów.