* Podając numer telefonu i klikając na przycisk "Proszę o kontakt", akceptujesz regulamin platformy i wyrażasz zgodę na przetwarzanie swoich danych osobowych,
w szczególności numeru telefonu, przez Szkoła Maturzystów Łukasz Jarosiński z siedzibą w Olkuszu, ul. Żeromskiego 2/20, NIP 6372144158
w celu przedstawiania oferty przez telefon. Twoje dane będą przetwarzane na zasadach określonych w polityce prywatności.
Administratorem danych osobowych jest Łukasz Jarosiński prowadzący działalność gospodarczą pod firmą Szkoła Maturzystów Łukasz Jarosiński
z siedzibą w Olkuszu, ul. Żeromskiego 2/20, NIP: 6372144158. Zapoznaj się z informacjami o przetwarzaniu danych tutaj.
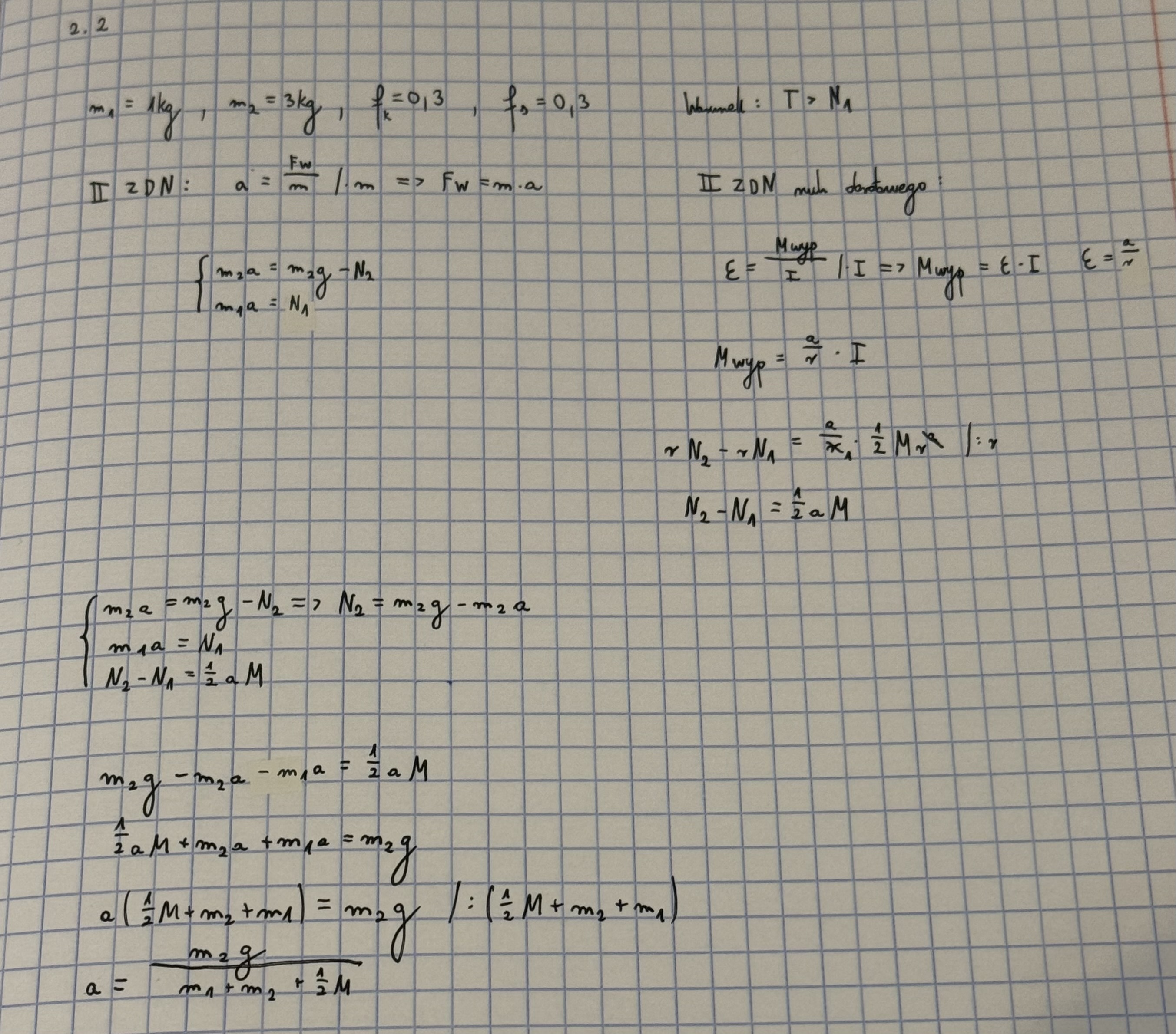
Poprawny warunek to tak naprawdę T = N1, bo T nigdy nie będzie większe od N1. Tarcie "dopasowuje" się do wartości przykładanej do ciała siły, gdyby było większe od N1, to nagle układ zacząłby się poruszać w lewo (czyli niejako tarcie wymusiłoby ruch), co nie jest możliwe. Więc poprawny warunek to T = N1 i zauważ, że to dokładnie to samo co napisane jest w kryteriach - tam pierwsza zależność mówi właśnie o tym, że T = N1. Ale należy zauważyć, że skoro teraz cały układ ma się nie poruszać, to również N2 musi być równe N1, żeby na krążek nie działał żaden wypadkowy moment siły, tak żeby krążek się nie obracał. A to dalej oznacza, że dolne pudełko nie może opadać, więc działające na niego siły również muszą się równoważyć, więc N2 = m2g. I stąd powstaje nam warunek z kryteriów: T = N1 = N2 = m2g. I z niego już bierzemy równość T = m2g, co doprowadza nas do wyniku podanego w kryteriach.