
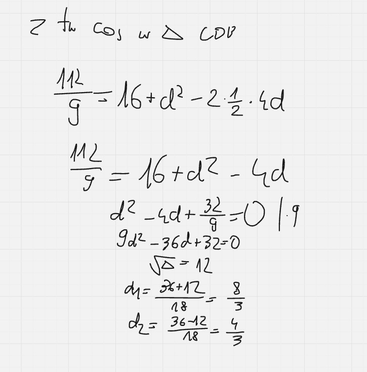
Dlaczego licząc z tw. cos wychodzą nam 2 rozwiązania obydwa teoretycznie możliwe, a odpowiedzią jest tylko 4/3
Edit: Zostawiam to tutaj jakby ktoś miał podobny problem. Z tego trójkąta CDB mają wyjść 2 rozwiązania, ale sprawdzamy też tw cos dla trójkąta ADC i tam wychodzi nam rozwiązanie 4/3 i 2/3, więc wspólnym rozwiązaniem jest tylko 4/3.


Tutaj pisałem więcej na ten temat:
https://forum.szkolamaturzystow.pl/wpis/post?url=1608122581-830132-klaczkow