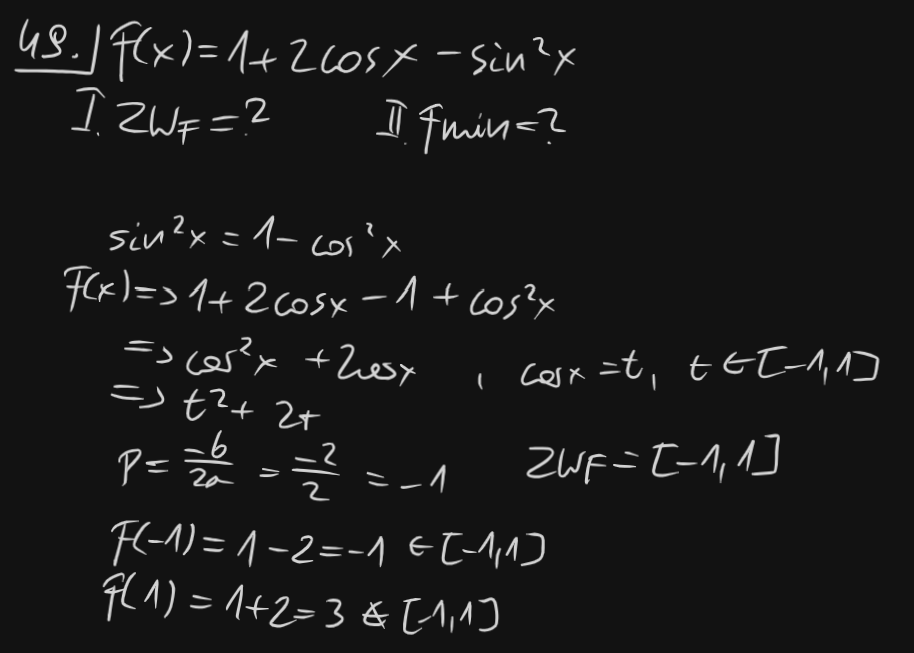
Wyznacz zbiór wartości funkcji f(x) = 1 + 2cosx - sin2x. Znajdz argumenty dla których funckja przyjmuje najmniejszą wartość
Doszedłem z tym zadaniem do punktu jak na zdjęciu poniżej. Według założenia 3 nie należy do przedziału t, jednak jest ODP na to zadanie. Finalnym zbiorem jest przedział [-1,3].
Dlaczego taki wychodzi wynik, jak założyliśmy że te wartości muszą należeć do przedziału t?

Moim zdaniem przedział [-1,1] odnosi się tylko do t. ZW funkcji byłby taki sam gdyby jej wzór to byłoby np f(x)=t, ale tak nie jest, zatem przedział t to nie to samo co ZWf.