Te równanie pojawiło się na mojej wewnątrz szkolnej maturze próbnej styczeń 2026 i żadnym sposobem nie umiałam go rozwiązac, czy ktoś wie jak to zrobić?
Nie ma tego na internecie, była to wewnątrz szkolna próbna matura styczen 2026 z SMWP gdzie zapamietałam po prostu takie równanie, którego żadnym sposobem nie umiałam rozwiązac.
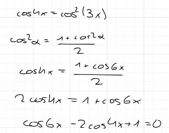
Spróbuj tak zacząć: 
I teraz rozpisać
cos6x=4cos^3(2x)-3cos(2x)
cos4x=2cos^2(2x)-1
I wykonać podstawienie y=cos2x
Podaj proszę źródło zadania.