* Podając numer telefonu i klikając na przycisk "Proszę o kontakt", akceptujesz regulamin platformy i wyrażasz zgodę na przetwarzanie swoich danych osobowych,
w szczególności numeru telefonu, przez Szkoła Maturzystów Łukasz Jarosiński z siedzibą w Olkuszu, ul. Żeromskiego 2/20, NIP 6372144158
w celu przedstawiania oferty przez telefon. Twoje dane będą przetwarzane na zasadach określonych w polityce prywatności.
Administratorem danych osobowych jest Łukasz Jarosiński prowadzący działalność gospodarczą pod firmą Szkoła Maturzystów Łukasz Jarosiński
z siedzibą w Olkuszu, ul. Żeromskiego 2/20, NIP: 6372144158. Zapoznaj się z informacjami o przetwarzaniu danych tutaj.
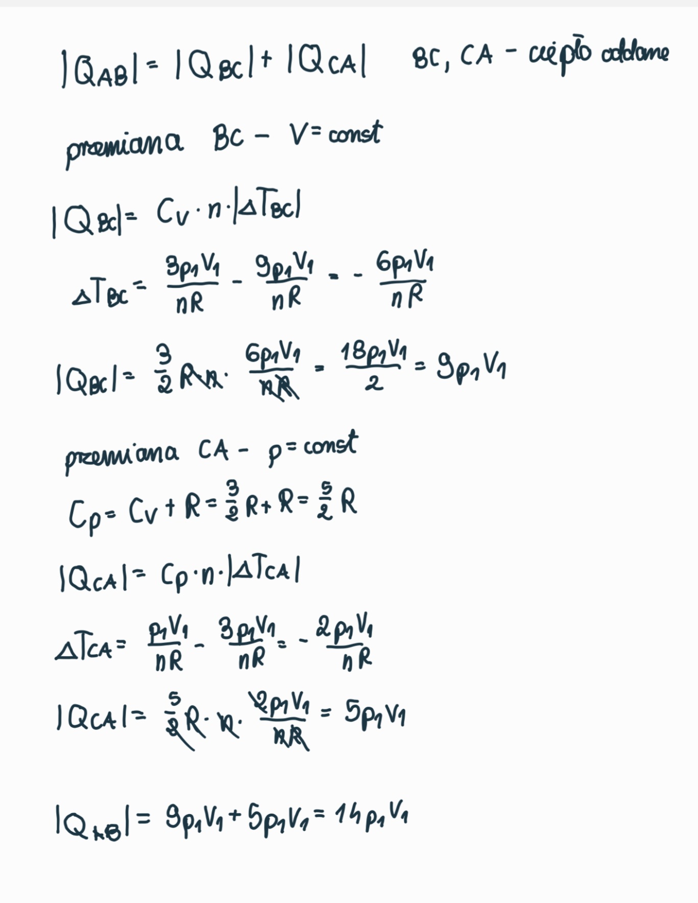
Prawdziwe nie jest to pierwsze założenie, że |Qab| = |Qbc| + |Qca|. Bo ono zakłada, że w całym jednym cyklu gaz pobrał tyle samo ciepła ile oddał. A to nie jest prawdą. Wiemy bowiem, że gaz wrócił do punktu "startowego", więc na pewno nie zmieniła się jego energia wewnętrzna, czyli delta_U = 0. Ale gaz pracuje tutaj w schemacie silnika cieplnego (przemiany idą zgodnie z ruchem wskazówek zegara), więc gaz wykonał sumarycznie dodatnią pracę w całym cyklu, możemy zresztą ją obliczyć - jest to pole figury ograniczonej przemianami, a zatem jest to 2 p1*V1. A to oznacza, że zgodnie z pierwszą zasadą termodynamiki gaz w całym cyklu musiał pobrać ciepło w ilości 2 p1*V1.
Możesz zatem wykorzystać Twoje podejście, ale na podstawie tej krótkiej analizy, którą powyżej wykonałem, tym pierwotnym równaniem na ciepła, które należałoby zapisać byłoby: |Qab| = |Qbc| + |Qca| + |Wgazu_w_całym_cyklu|, czyli |Qab| = |Qbc| + |Qca| + 2*p1V1. I wtedy wyjdzie ok :)