* Podając numer telefonu i klikając na przycisk "Proszę o kontakt", akceptujesz regulamin platformy i wyrażasz zgodę na przetwarzanie swoich danych osobowych,
w szczególności numeru telefonu, przez Szkoła Maturzystów Łukasz Jarosiński z siedzibą w Olkuszu, ul. Żeromskiego 2/20, NIP 6372144158
w celu przedstawiania oferty przez telefon. Twoje dane będą przetwarzane na zasadach określonych w polityce prywatności.
Administratorem danych osobowych jest Łukasz Jarosiński prowadzący działalność gospodarczą pod firmą Szkoła Maturzystów Łukasz Jarosiński
z siedzibą w Olkuszu, ul. Żeromskiego 2/20, NIP: 6372144158. Zapoznaj się z informacjami o przetwarzaniu danych tutaj.
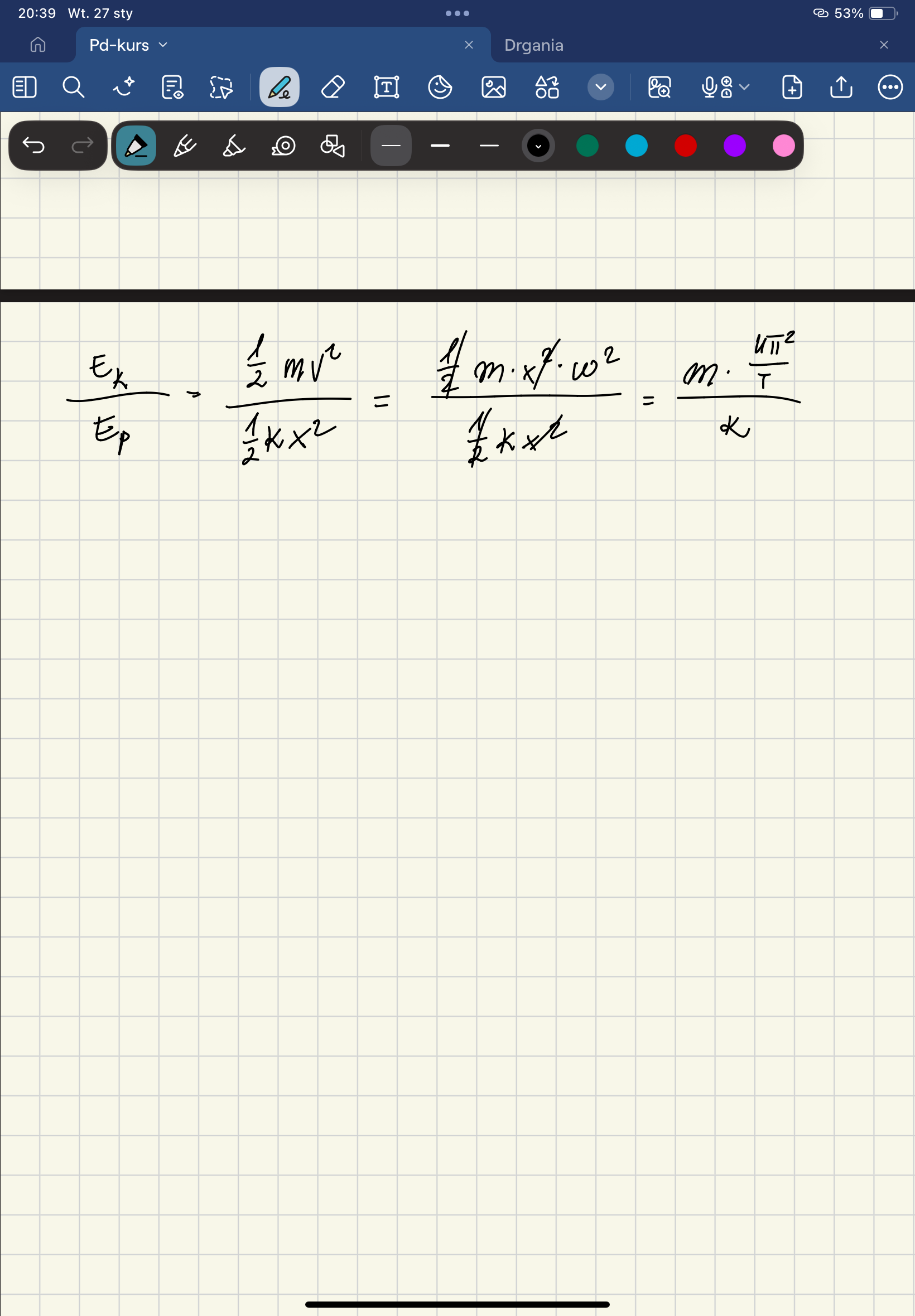
Hmm, z tego co widzę, to zapisałaś, że v^2 = x^2 * omega^2, co sugeruje, że w Twoim obliczeniu v = x*omega. Ale nie jest to prawda, bo wiemy przecież, że w ruchu harmonicznym x = A*sin(omega*t + fi), natomiast v = A*omega*cos(omega*t + fi). Nie można zatem użyć takiego przejścia.