* Podając numer telefonu i klikając na przycisk "Proszę o kontakt", akceptujesz regulamin platformy i wyrażasz zgodę na przetwarzanie swoich danych osobowych,
w szczególności numeru telefonu, przez Szkoła Maturzystów Łukasz Jarosiński z siedzibą w Olkuszu, ul. Żeromskiego 2/20, NIP 6372144158
w celu przedstawiania oferty przez telefon. Twoje dane będą przetwarzane na zasadach określonych w polityce prywatności.
Administratorem danych osobowych jest Łukasz Jarosiński prowadzący działalność gospodarczą pod firmą Szkoła Maturzystów Łukasz Jarosiński
z siedzibą w Olkuszu, ul. Żeromskiego 2/20, NIP: 6372144158. Zapoznaj się z informacjami o przetwarzaniu danych tutaj.
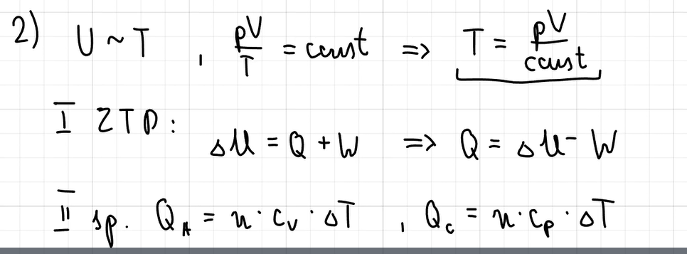
Ale drugi sposób działa tylko w przemianie izochorycznej (wtedy we wzorze używa się ciepła molowego w stałej objętości, czyli cv) lub w przemianie izobarycznej (wtedy we wzorze używa się ciepła molowego w stałym ciśnieniu, czyli cp). Czyli możemy go użyć tylko do przemian A i C (na co wskazują zresztą indeksy dolne przy liczonych w ten sposób ciepłach). Przemiana B jest izotermiczna, więc ten wzór w jej przypadku nie ma zastosowania - trzeba użyć tam I zasady termodynamiki.