* Podając numer telefonu i klikając na przycisk "Proszę o kontakt", akceptujesz regulamin platformy i wyrażasz zgodę na przetwarzanie swoich danych osobowych,
w szczególności numeru telefonu, przez Szkoła Maturzystów Łukasz Jarosiński z siedzibą w Olkuszu, ul. Żeromskiego 2/20, NIP 6372144158
w celu przedstawiania oferty przez telefon. Twoje dane będą przetwarzane na zasadach określonych w polityce prywatności.
Administratorem danych osobowych jest Łukasz Jarosiński prowadzący działalność gospodarczą pod firmą Szkoła Maturzystów Łukasz Jarosiński
z siedzibą w Olkuszu, ul. Żeromskiego 2/20, NIP: 6372144158. Zapoznaj się z informacjami o przetwarzaniu danych tutaj.
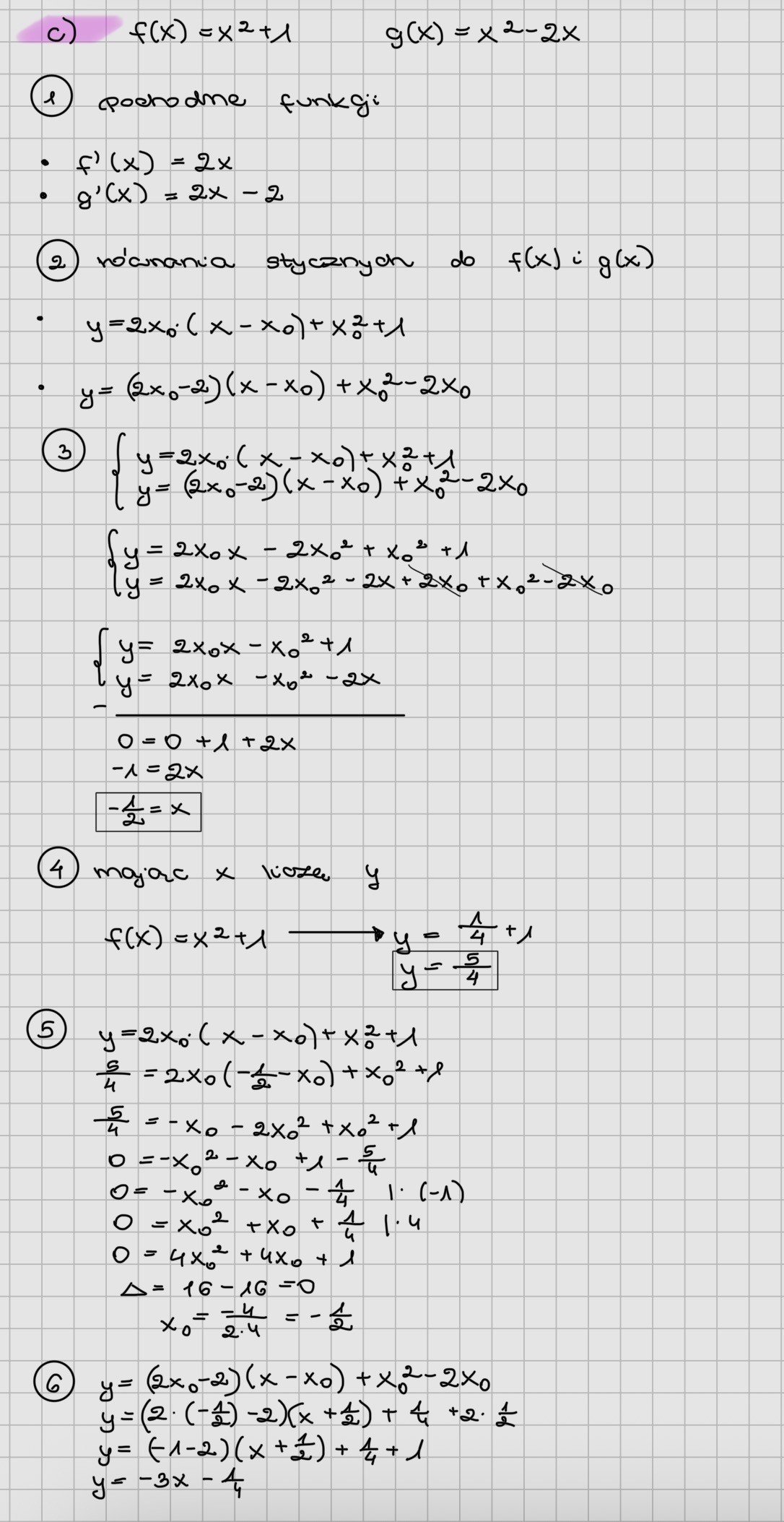
Błąd masz gdy powyliczaniu x jako punkt wspólny obu stycznych, wyliczasz y z wzoru funkcji f. Nie mamy pewności czy punkt przecięcia tych stycznych jest na wykresie funkcji f. Ponadto zależy nam na tym, żeby te styczne były tą sama prostą, więc bez sensu wyliczać punkt przecięcia.
Ponadto obawiam się, że nawet jak wyliczysz tego y, to będzie on zależał od x_0, co niewiele da.
Lepiej więc przyrównaj współczynniki a i b we wzorach stycznych i w ten sposób wylicz x_0.
Przyznaj sobie 2 punkty, bo policzyłaś pochodne i zapisałaś równania stycznych.