* Podając numer telefonu i klikając na przycisk "Proszę o kontakt", akceptujesz regulamin platformy i wyrażasz zgodę na przetwarzanie swoich danych osobowych,
w szczególności numeru telefonu, przez Szkoła Maturzystów Łukasz Jarosiński z siedzibą w Olkuszu, ul. Żeromskiego 2/20, NIP 6372144158
w celu przedstawiania oferty przez telefon. Twoje dane będą przetwarzane na zasadach określonych w polityce prywatności.
Administratorem danych osobowych jest Łukasz Jarosiński prowadzący działalność gospodarczą pod firmą Szkoła Maturzystów Łukasz Jarosiński
z siedzibą w Olkuszu, ul. Żeromskiego 2/20, NIP: 6372144158. Zapoznaj się z informacjami o przetwarzaniu danych tutaj.
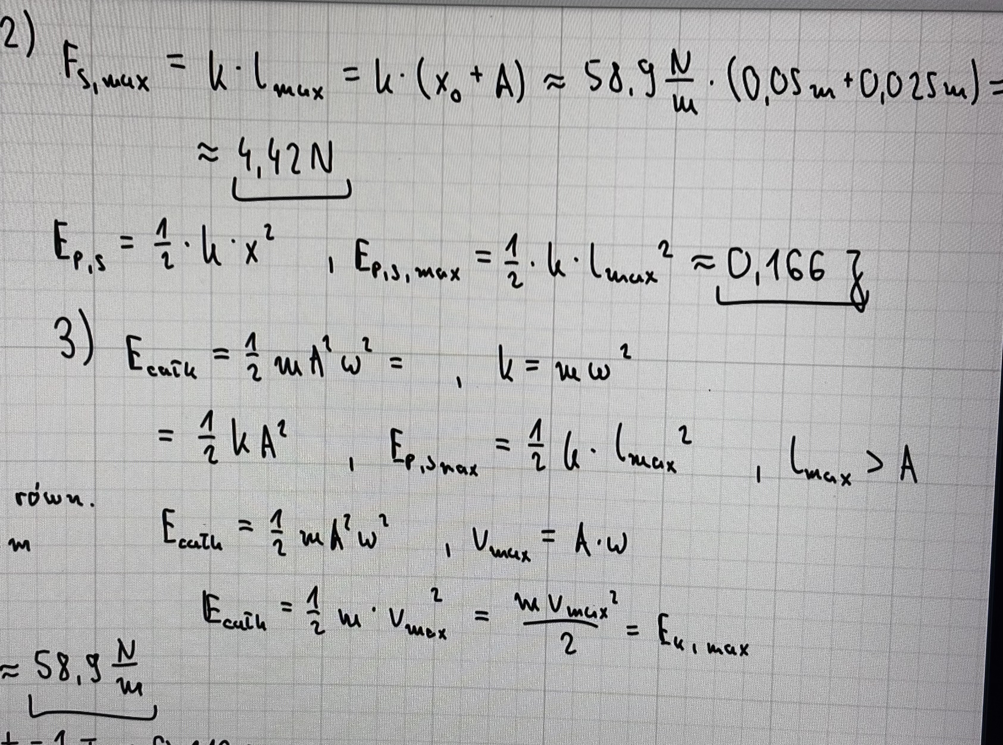
No właśnie z ciężarkiem drgającym na sprężynie w pionie jest ten problem, że to ile wynosi całkowite energia mechaniczna zależy od tego gdzie przyjmiemy sobie zerowy poziom energii potencjalnej grawitacji (czyli tej liczonej jako mgh), bo ona w istocie wchodzi w skład tej całkowitej energii mechanicznej ciężarka w takiej sytuacji. Okazuje się, że jeśli ten zerowy poziom przyjmiemy w położeniu, które jest dokładnie w środku pomiędzy położeniem równowagi, a położeniem, w którym sprężyna nie jest ani rozciągnięta, ani ściśnięta, to wtedy faktycznie energia całkowita będzie akurat równa 1/2 * m * A^2 * w^2. Ale jeśli to położenie zerowe przyjmiemy gdzie indziej, to ta energia całkowita będzie albo trochę mniejsza albo trochę większa, bo albo trochę zwiększymy tym przesunięciem energię potencjalną grawitacji (mgh) albo trochę ją zmniejszymy.
Dlatego tutaj w tym zdaniu w zadaniu specjalnie użyto sformułowania "wartość całkowitej energii mechanicznej ciężarka w ruchu harmonicznym wyrażonej jako 1/2 * m * A^2 * w^2", bo autor zdaje sobie sprawę z tego, że w ogólności ta wartość może być różna ;)