mateuszlukowski 68 wyśw. 17-02-2026 12:12

INF.4.2

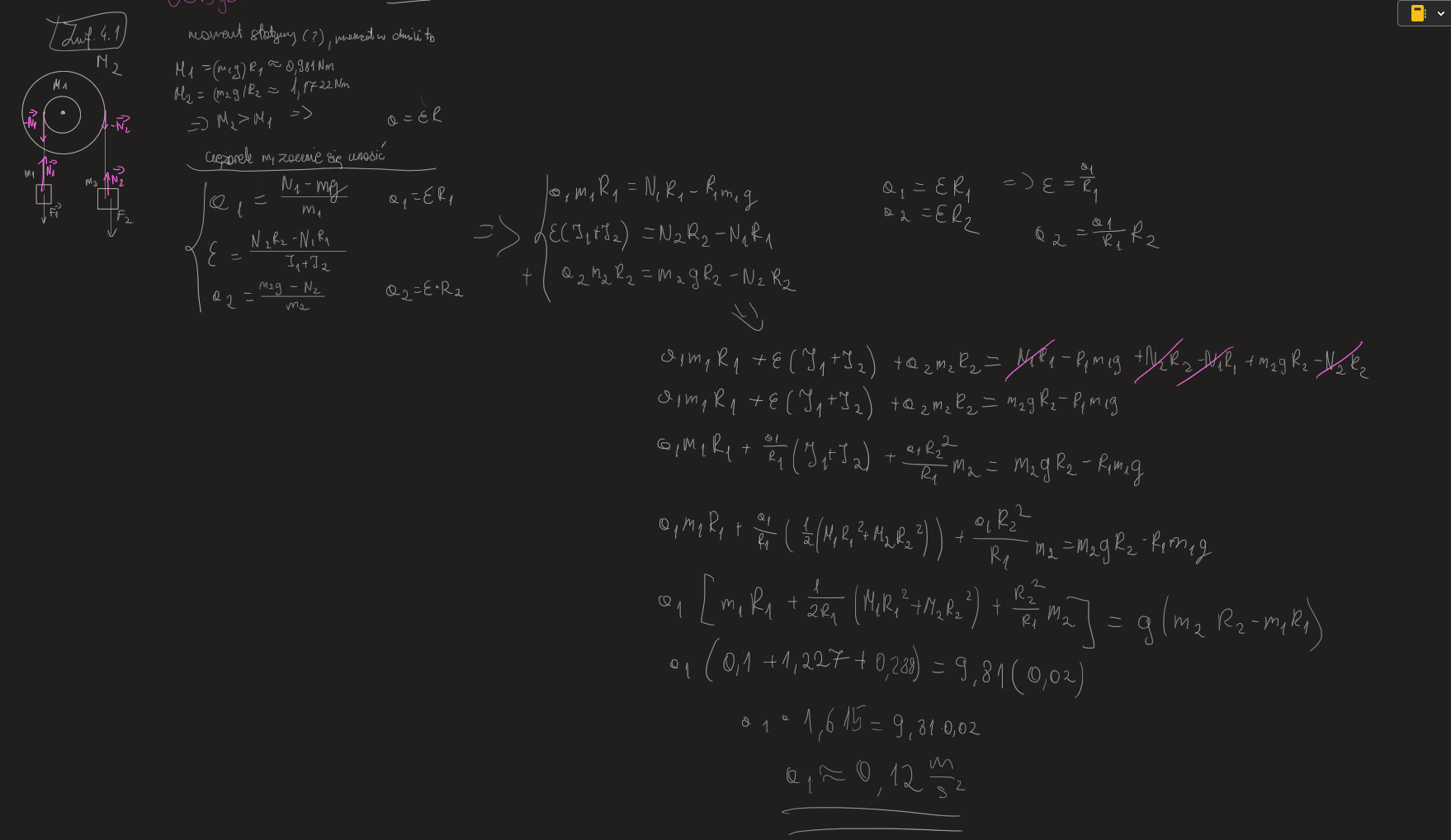
Oblicz przyśpieszenie ciężarka a1


Odpowiedź zgadza mi się z odpowiedziami, więc chyba rozwiązałem dobrze to zadanie, ale chciałem zapytać czy jakby zabrakło mi czasu na maturze tak "ładnie" wyprowadzać wzór (w tym przypadku na a1) na literkach, to mógłbym podstawić liczby i wyliczyć to w ten sposób?

U mnie w szkole nauczycielka uznawała to za błąd lub za coś nieeleganckiego, i o ile się zgadzam z tym że może nie jest to najładniejszy sposób na rozwiązanie zadania tak momentami układ równań może zamęczyć, tak jak powyżej.
Chodzi mi po prostu o to czy mogłoby to zostać uznane za błąd przez CKE.


bryła sztywna Dodaj post do ulubionych Poproś o pomoc
s.gugula 17-02-2026 23:43

W istocie jest to delikatnie "nieeleganckie", ale jak najbardziej poprawne - na maturze zostanie to normalnie uznane :)


mateuszlukowski 18-02-2026 10:28

dziękuje :)