* Podając numer telefonu i klikając na przycisk "Proszę o kontakt", akceptujesz regulamin platformy i wyrażasz zgodę na przetwarzanie swoich danych osobowych,
w szczególności numeru telefonu, przez Szkoła Maturzystów Łukasz Jarosiński z siedzibą w Olkuszu, ul. Żeromskiego 2/20, NIP 6372144158
w celu przedstawiania oferty przez telefon. Twoje dane będą przetwarzane na zasadach określonych w polityce prywatności.
Administratorem danych osobowych jest Łukasz Jarosiński prowadzący działalność gospodarczą pod firmą Szkoła Maturzystów Łukasz Jarosiński
z siedzibą w Olkuszu, ul. Żeromskiego 2/20, NIP: 6372144158. Zapoznaj się z informacjami o przetwarzaniu danych tutaj.
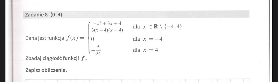
Dla x=4 nie ma potrzeby rozdzielać na lewo i prawo stronną granicę, ponieważ po skróceniu dostajesz: f(x)=-(x+1)/3(x+4) i ten wzór jest zwykłą funkcją wymierną ciągłą w otoczeniu 4. Więc granica obustronna istnieje od razu i jest równa wartości po podstawieniu. Dla x=-4 sytuacja jest inna, bo wtedy mianownik x+4->0 więc znak zależy od jego strony.
Schemat w takich zadaniach jest bardzo podobny. Sprawdzamy, gdzie wzór może mieć problem (czyli miejsca zerowania mianownika albo punkty definiowane osobno. Następnie upraszczamy wzór, jeśli się da. Poza punktami podejrzanymi funkcja jest ciągła automatycznie np. wymierna tam gdzie mianownik jest różny od zera). W każdym podejrzanym punkcie liczysz granicę i porównujesz z wartością funkcji.