zuziaczek 99 wyśw. 15-03-2026 15:23

zadanie domowe 23 cz.I zad 5



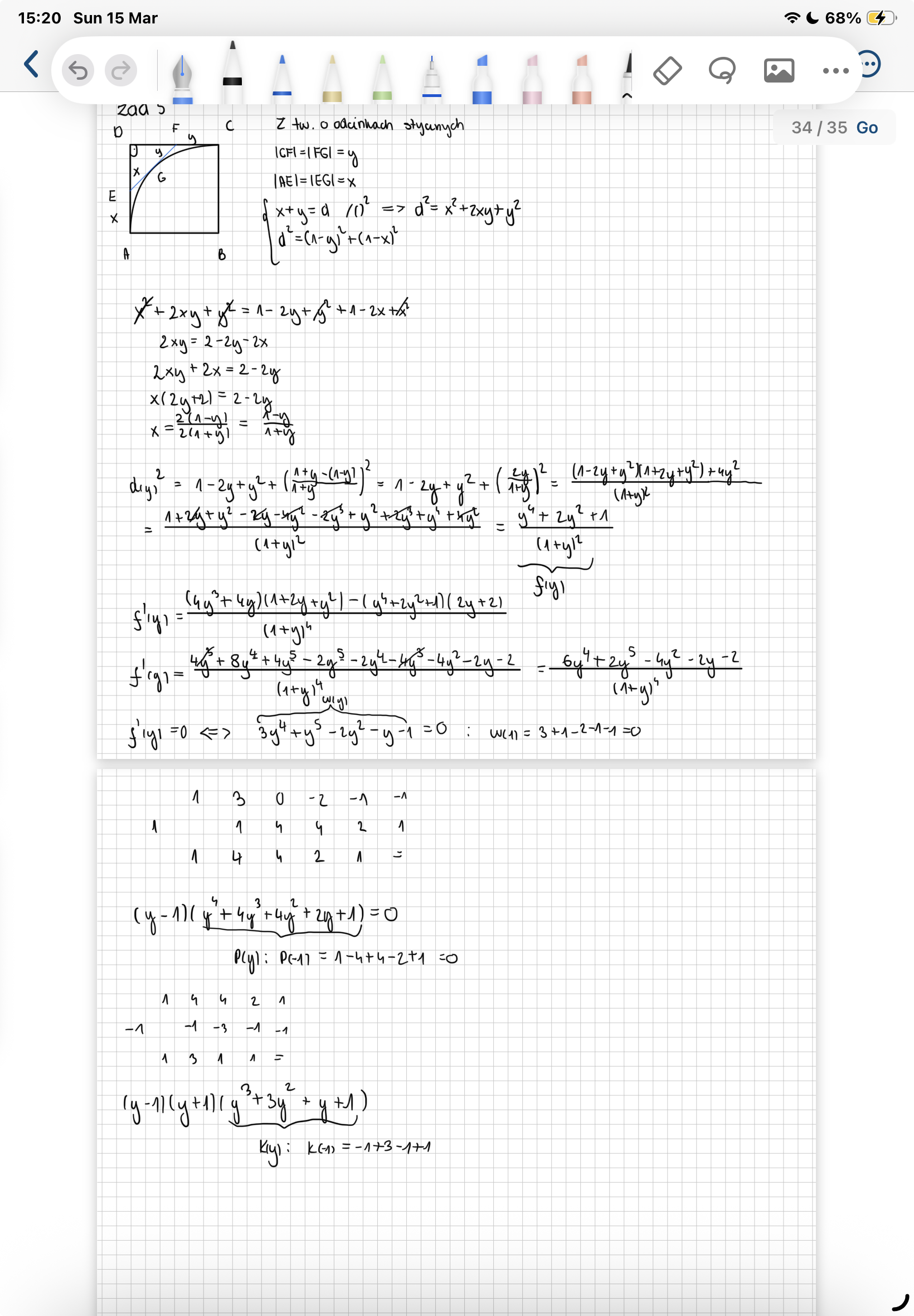
co zrobić z tym wielomianem 3-ciego stopnia jaki mi wyszedł?


odcinek wielomian Dodaj post do ulubionych Poproś o pomoc
jarosinski 16-03-2026 22:31

Przekomplikowałaś:


zuziaczek 17-03-2026 17:04

czyli tak po prostu z doświadczenia mam w podobnym zadaniu wywnioskować że łatwiej jest oznaczyć x-em odcinek DE niż odcinek EA ?


jarosinski 17-03-2026 18:45

A dlaczego d(y) podnosisz do kwadratu?


zuziaczek 18-03-2026 16:09

hm zrobiłam to nieświadomie, ale czy to cos by zmieniło w moim rozważaniu? tam pojawiłby się pierwiastek a funkcja podpierwiastkowa byłaby identyczna jak d^2, chyba...


jarosinski 19-03-2026 12:59

Być może nic by nie zmieniło natomiast nie chcemy robić rzeczy bez powodu. Jeżeli mamy optymalizować funkcję d(y) to optymalizujemy funkcję d(y), a nie d(y)^2