zuziaczek 92 wyśw. 17-03-2026 16:40

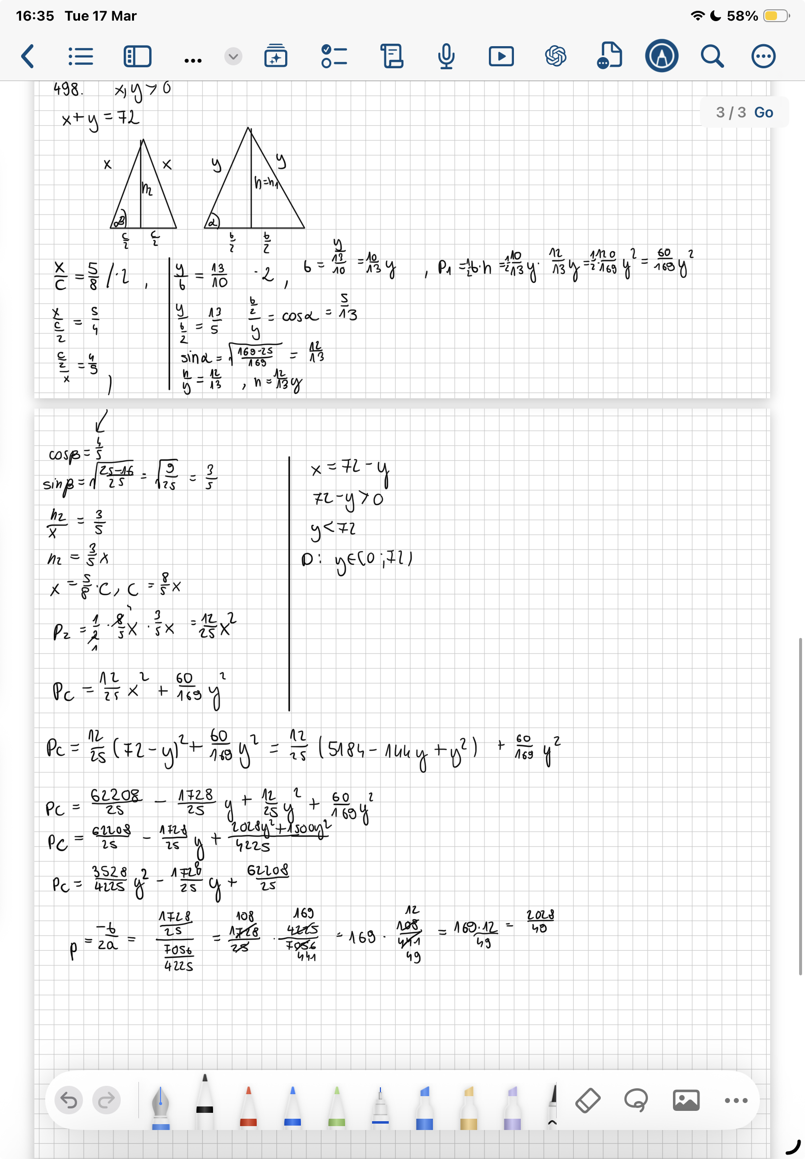
498. kiełbasa

Drut o dtugosci 72 cm rozcieto na dwa kawalki i z kazdego kawalka zbudowano brzeg trojkata rownora-

miennego, przy czym stosunek dlugosci ramienia do dtugosci podstawy w jednym trójkacie wynosi 5 : 8.

a w drugim 13 : 10. Jaki obwody maja te trojkaty, jezeli suma ich pól jest najwieksza z mozliwych?


1. czy nie jest tak z tymi wartościami funkcji trygonometrycznych jak ja napisałam? wiem że poźniej nieźle poleciałam z obliczeniami ale po prostu zastanawiam się czemu tak to nie wychodzi. 

2. jak tak właściwie to rozwiązac


trójkąty optymalizacja Dodaj post do ulubionych Poproś o pomoc
jarosinski 20-03-2026 15:58

1. Skąd wiesz, że nie wychodzi skoro mówisz, że źle obliczenia zrobiłaś?

Przeanalizuj proszę to rozwiązanie: [LINK]

W razie jakichkolwiek pytań proszę o informacje.