* Podając numer telefonu i klikając na przycisk "Proszę o kontakt", akceptujesz regulamin platformy i wyrażasz zgodę na przetwarzanie swoich danych osobowych,
w szczególności numeru telefonu, przez Szkoła Maturzystów Łukasz Jarosiński z siedzibą w Olkuszu, ul. Żeromskiego 2/20, NIP 6372144158
w celu przedstawiania oferty przez telefon. Twoje dane będą przetwarzane na zasadach określonych w polityce prywatności.
Administratorem danych osobowych jest Łukasz Jarosiński prowadzący działalność gospodarczą pod firmą Szkoła Maturzystów Łukasz Jarosiński
z siedzibą w Olkuszu, ul. Żeromskiego 2/20, NIP: 6372144158. Zapoznaj się z informacjami o przetwarzaniu danych tutaj.
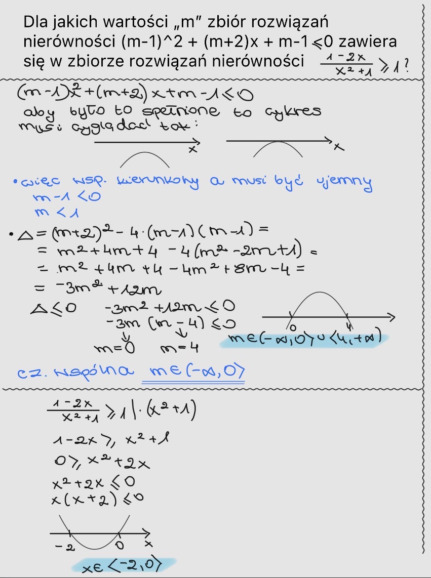
To zadanie zawsze należy zacząć od rozszyfrowania drugiej części czyli rozwiązujemy nierówność i otrzymujemy x e <-2, 0>
od tego momentu nasze polecenie to: Dla jakich wartości m... zawiera się w zbiorze x e <-2, 0>
Czyli szukamy takich m dla których nasza funkcja (m-1)^2 + (m+2)x+m-1 jest mniejsza lub równa zero w tym przedziale x e <-2, 0>, czyli interesują nas takie przypadki:
i pod to ustawiamy warunki dla f(x)