
Pytania są pod kolejnymi zdjęciami
Policzmy zatem długości odcinków potrzebnych do zadania



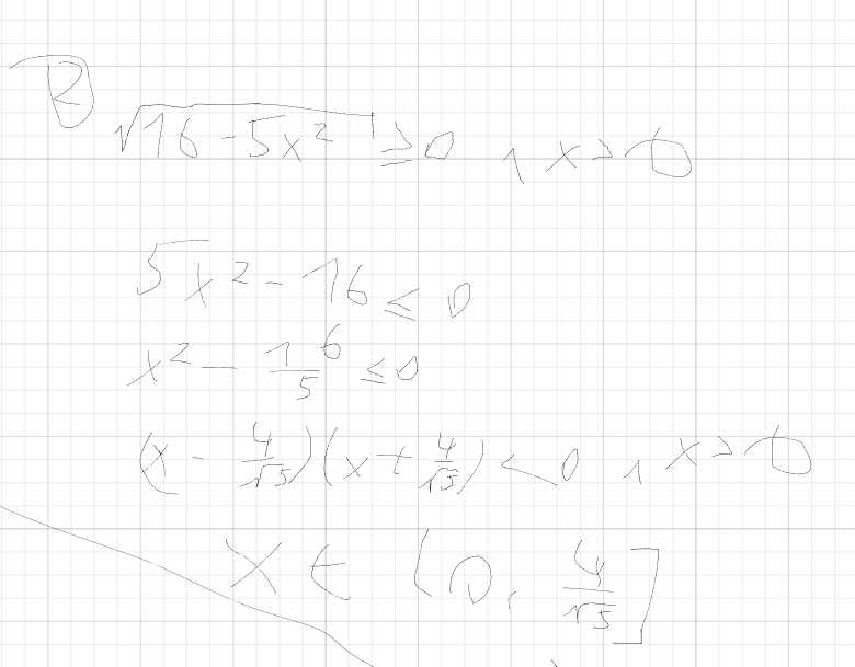
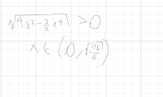
Ustalamy więc dziedzine funkcji


Zatem dziedzina funkcji to
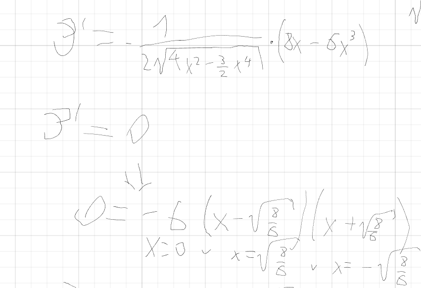
A teraz czas na pochodną
i jej dziedzine
1. Gdzie dopiero ta dziedzina pasuje mi do kryteriów, czyli w zadaniach optymalizacyjnych bierzemy pod uwage dziedzine tylko pochodnej, nie interesuje nas dziedzina funkcji?
I też mam pytanie do drugiej części odnośnie wykresu pochodnej i wykresu funkcji z ustalaniem ekstremów i dowodu minimum maksimum
Mamy wykres funkcji i pochodnej funkcji

2. I tutaj ponownie różne dziedziny sprawiają że nie wiem na co patrzeć by było to tak poprawne jak cke chce
Ta dziedzina nie zgadza się z odpowiedziami odnośnie nawiasów dlatego coś tu albo jest nie tak albo nie wiem
Bo powinieneś tam dać >0 bok nie może być równy zero. Nie jest wtedy bokiem.
Przecież ci dobrze wychodzi dziedzina na początku. Czy ja czegoś nie rozumiem?