antosia99 24 wyśw. 16-04-2026 11:28

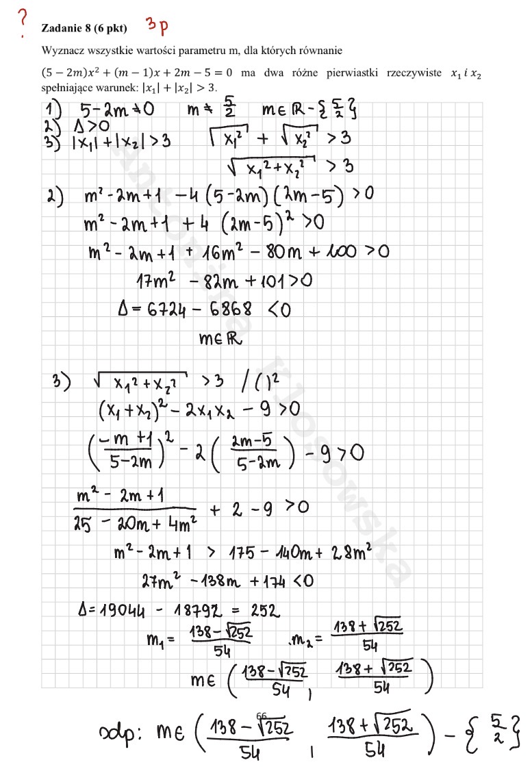
arkusz 8 zadanie 8



Gdzie popełniłam błąd w 3 podpunkcie? Wynik jest inny od tego w kryteriach i czy to jest kwestia błędu rachunkowego?


matematyka matura równanie z parametrem Dodaj post do ulubionych Poproś o pomoc
mateuszlukowski 16-04-2026 11:35