Oskar 16 wyśw. 16-04-2026 17:50

Zadanie 6 arkusz 5

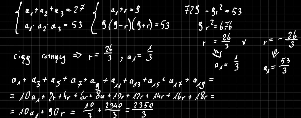
Dany jest rosnący ciąg arytmetyczny, którego suma trzech kolejnych liczb jest równa 27, a ich iloczyn wynosi 53. oblicz pierwszy wyraz ciągu a1, oraz różnicę ciągu r. następnie oblicz sumę pierwszych 10 nieparzystych wyrazów tego ciągu.


wyślę ktoś rozwiązanie tego zadania? mam gdzieś bląd którego nie mogę znaleźć. 
Matematyka matura Dodaj post do ulubionych Poproś o pomoc
Julia.J 16-04-2026 21:26