Maks55 2 wyśw. 20-04-2026 15:19

Zadanie 2, zadanie domowe 3 cz.II



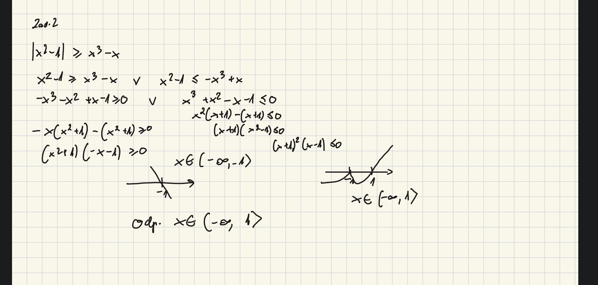
Witam, czy moje rozwiązanie jest poprawne? Wynik wychodzi mi taki sam jak w odpowiedziach, ale inny jest proces do którego doszedłem do wyniku.


Matematyka matura zadanie domowe Dodaj post do ulubionych Poproś o pomoc