555majka 3 wyśw. 22-04-2026 15:07

Arkusz X zadanie 1



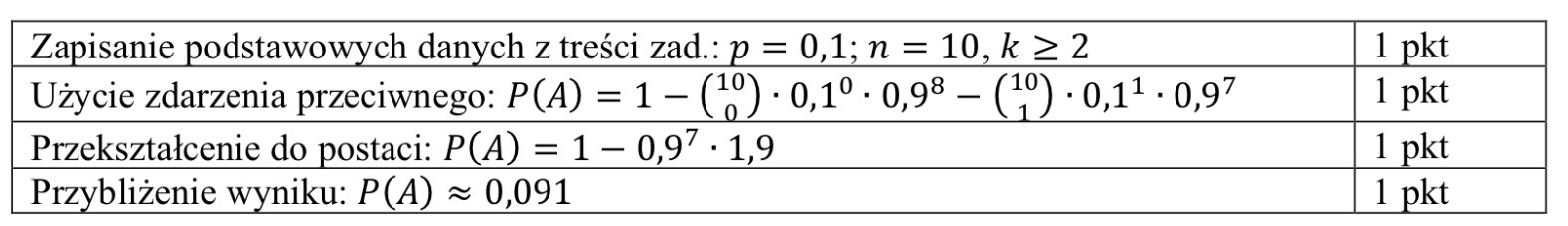
Dlaczego w kryteriach jest 0.9 podniesione do potęgi 8 a nie do 10. Przesylam kryteria i moje rozwiazanie


Matematyka matura prawdopodobieństwo Dodaj post do ulubionych Poproś o pomoc